【药物名称】S-30972-1
化学结构式(Chemical Structure):
参考文献No.37248
标题:Ellipticine derivs., their preparation and pharmaceutical compsns. containing them
作者:Guilbaud, N.; Bisagni, E.; Guillonneau, C.; Charton, Y.; Atassi, G.; Pierre, A. (ADIR et Cie.)
来源:EP 0850940; US 6162811
合成路线图解说明:

The title hemiglutarate ester was synthesized by acylation of the known olivacine derivative (I) with glutaric anhydride (II) in pyridine, followed by conversion to the corresponding dihydrochloride salt.

参考文献No.541796
标题:Synthesis of 9-O-substituted derivatives of 9-hydroxy-5, 6-dimethyl-6H-pyrido[4,3-b]carbazole-1-carboxylic acid (2-(dimethylamino)ethyl)amide and their 10- and 11-methyl analogues with improved antitumor activity
作者:Guillonneau, C.; Pierre, A.; Charton, Y.; Guilbaud, N.; Kraus-Berthier, L.; Leonce, S.; Michel, A.; Bisagni, E.; Atassi, G.
来源:J Med Chem 1999,42(12),2191
合成路线图解说明:

The title hemiglutarate ester was synthesized by acylation of the known olivacine derivative (I) with glutaric anhydride (II) in pyridine, followed by conversion to the corresponding dihydrochloride salt.

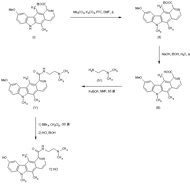
合成路线图解说明:

The known pyridocarbazole (I) was methylated to (II) using dimethyl carbonate as the alkylating agent in the presence of K2CO3 and the phase-transfer catalyst adogen-464. For the preparation of the required amide (V), the ester group of (III) was first hydrolyzed with NaOH to the carboxylic acid (III), which was then coupled with 2-(dimethylamino)ethyl amine (IV) by means of (benzotriazol-1-yloxy)tripyrrolidinophosphonium hexafluorophosphate (PyBOP) in hot N-methylpyrrolidone yielding (V). Finally, cleavage of the methyl ether of (V) with BBr3 provided the title compound.

Drug Information Express,Drug R&D,Chemical Database,Patent Search.
Copyright © 2006-2026 Drug Future. All rights reserved.Contact Us