【药物名称】
化学结构式(Chemical Structure):
参考文献No.33766
标题:Cpds. with growth hormone releasing properties
作者:Hansen, T.K.; Peschke, B.; Lau, J.; Lundt, B.F.; Ankersen, M.; Watson, B.; Madsen, K. (Novo Nordisk A/S)
来源:JP 1999209336; JP 1999501054; JP 2000143613; US 6127391; WO 9723508
合成路线图解说明:

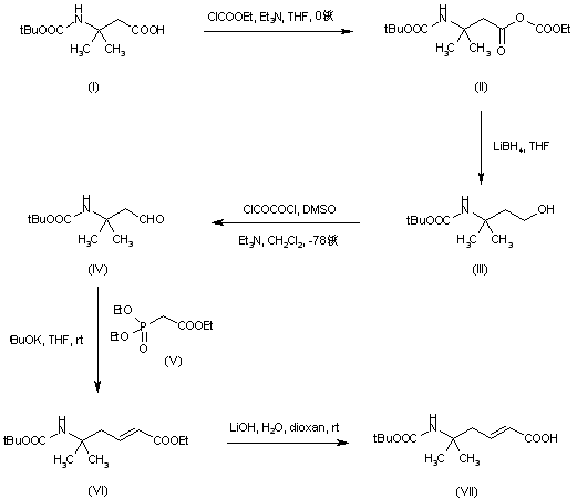
Amino acid (II) (obtained by N-alkylation of N-Boc-D-phenylalanine (I) with MeI), was coupled to (S)-1-amino-2-propanol (III) using 1-ethyl-3-(3-dimethylaminopropyl)carbodiimide-HCl (EDC) and 1-hydroxybenzotriazole to give amide (IV). The N-Boc group of (IV) was then deprotected with trifluoroacetic acid in CH2Cl2 to afford (V). Further coupling of (V) with D-naphthylalanine derivative (VI), followed by Boc deprotection with trifluoroacetic acid, provided dipeptide amide (VII). This dipeptide was coupled to intermediate amino acid (VIII) using EDC and 1-hydroxy-7-azabenzotriazole yielding tripeptide (IX). Finally, trifluoroacetic acid-promoted Boc-deprotection of (IX) provided the target compound. Intermediate amino acid (VIII) was prepared from 3-(tert-butoxycarbonylamino)-3-methylbutanoic acid (X) upon conversion to the mixed anhydride with ethyl chloroformate, followed by reduction to alcohol (XI) with LiBH4. Subsequent Swern oxidation of the alcohol (XI) furnished aldehyde (XII). This was condensed with triethyl phosphonoacetate, and then saponified with LiOH to produce the intermediate (VIII).

合成路线图解说明:

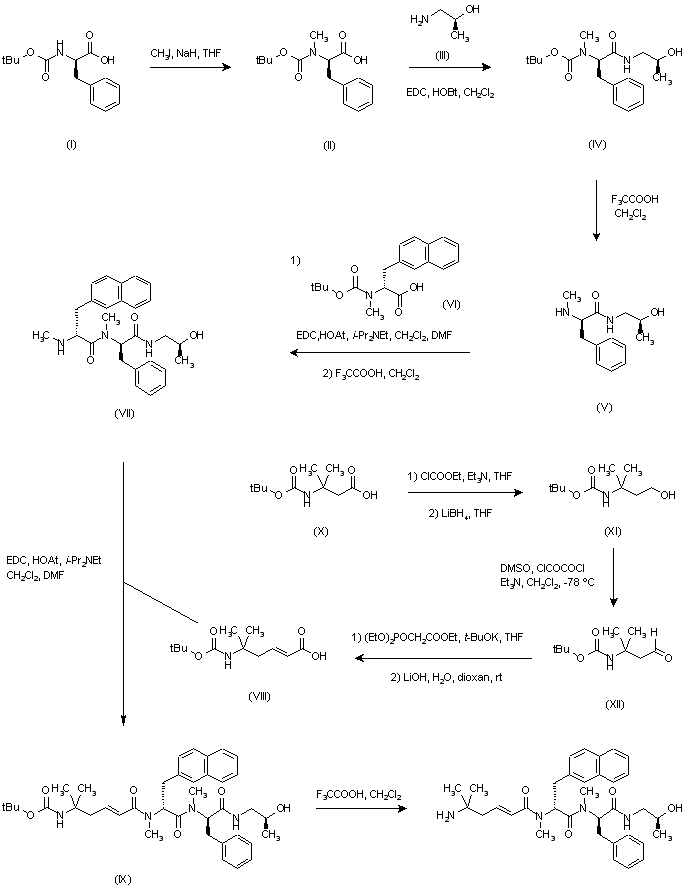
Reduction of N-Boc-3-amino-3-methylbutanoic acid (I) to alcohol (II) was achieved via formation of the corresponding mixed anhydride with ethyl chloroformate, followed by treatment with LiBH4. Swern oxidation then produced aldehyde (III), which was subjected to a Horner-Emmons condensation with triethyl phosphonoacetate (IV) to afford unsaturated ester (V). Ester hydrolysis with LiOH yielded carboxylic acid (VI). Subsequent alkylation of (VI) with methyl iodide and NaH furnished de N-methyl derivative (VII).

合成路线图解说明:

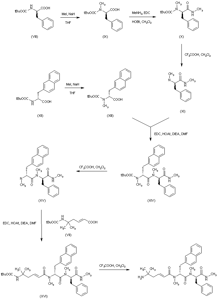
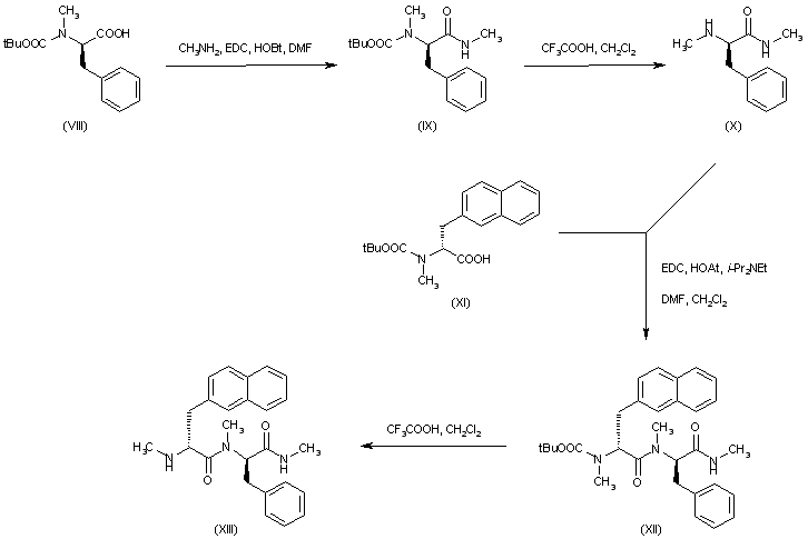
The condensation of N-Boc-N-methyl-D-phenylalanine (VIII) with methylamine by means of EDC and HOBt gave the corresponding amide (IX). After acid deprotection of the Boc group of (IX), the resulting amino compound (X) was coupled with N-Boc-N-methyl-D-naphthylalanine (XI) using EDC and HOAt to provide dipeptide (XII). The Boc protecting group of (XII) was further cleaved with trifluoroacetic acid to give (XIII).

合成路线图解说明:

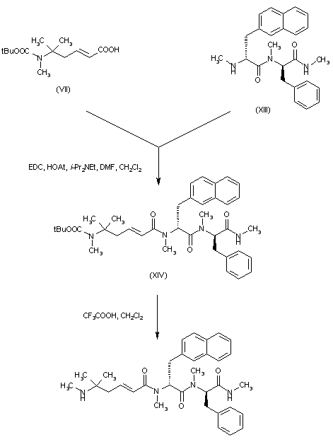
Coupling of amino acid (VII) with dipeptide (XIII) employing EDC and HOAt yielded tripeptide (XIV). The Boc group of (XIV) was then deprotected with trifluoroacetic acid to furnish the title compound.

参考文献No.35224
标题:Growth hormone component and bone anti-resorptive agent in cyclic (coherence) treatment of osteoporosis
作者:Eriksen, E.F.; Kappelgaard, A.-M. (Novo Nordisk A/S)
来源:WO 9746252
合成路线图解说明:

Amino acid (II) (obtained by N-alkylation of N-Boc-D-phenylalanine (I) with MeI), was coupled to (S)-1-amino-2-propanol (III) using 1-ethyl-3-(3-dimethylaminopropyl)carbodiimide-HCl (EDC) and 1-hydroxybenzotriazole to give amide (IV). The N-Boc group of (IV) was then deprotected with trifluoroacetic acid in CH2Cl2 to afford (V). Further coupling of (V) with D-naphthylalanine derivative (VI), followed by Boc deprotection with trifluoroacetic acid, provided dipeptide amide (VII). This dipeptide was coupled to intermediate amino acid (VIII) using EDC and 1-hydroxy-7-azabenzotriazole yielding tripeptide (IX). Finally, trifluoroacetic acid-promoted Boc-deprotection of (IX) provided the target compound. Intermediate amino acid (VIII) was prepared from 3-(tert-butoxycarbonylamino)-3-methylbutanoic acid (X) upon conversion to the mixed anhydride with ethyl chloroformate, followed by reduction to alcohol (XI) with LiBH4. Subsequent Swern oxidation of the alcohol (XI) furnished aldehyde (XII). This was condensed with triethyl phosphonoacetate, and then saponified with LiOH to produce the intermediate (VIII).

参考文献No.469559
标题:Novel orally active growth hormone secretagogues
作者:Hansen, T.K.; Ankersen, M.; Hansen, B.S.; Raun, K.; Nielsen, K.K.; Lau, J.; Peschke, B.; Lundt, B.F.; Thogersen, H.; Johansen, N.L.; Madsen, K.; Andersen, P.H.
来源:J Med Chem 1998,41(19),3705
合成路线图解说明:

The intermediate N-Boc-amino acid (VII) was synthesized as shown in Scheme 25409101a. Treatment of 3-(tert-butoxycarbonylamino)-3-methylbutanoic acid (I) with ethyl chloroformate and Et3N, followed by reduction of the resulting mixed anhydride (II) with LiBH4, provided alcohol (III). Then, oxidation of (III) under Swern conditions yielded aldehyde (IV). Subsequent Horner-Emmons condensation of (IV) with triethyl phosphonoacetate (V) in the presence of potassium tert-butoxide gave ester (VI), which was saponified with LiOH to provide the required carboxylic acid (VII).

合成路线图解说明:

Methylation of N-Boc-D-phenylalanine (VIII) with methyl iodide and NaH afforded the N-methyl amino acid (IX). After coupling with methylamine in the presence of EDC and HOBt, the Boc protecting group of the resulting amide (X) was removed by treatment with trifluoroacetic acid to give (XI). The N-methyl amino acid (XIII), prepared by methylation of N-Boc-naphthylalanine (XII), was then coupled to amine (XI) by means of EDC and HOAt to yield dipeptide amide (XIV). A further treatment of (XIV) with trifluoroacetic acid removed the Boc protecting group to yield (XV), which was then coupled with amino acid (VII) in the presence of EDC and HOAt yielding (XVI). Finally, deprotection of the Boc-tripeptide (XVI) with trifluoroacetic acid provided the title compound.

合成路线图解说明:

Amino acid (II) (obtained by N-alkylation of N-Boc-D-phenylalanine (I) with MeI), was coupled to (S)-1-amino-2-propanol (III) using 1-ethyl-3-(3-dimethylaminopropyl)carbodiimide-HCl (EDC) and 1-hydroxybenzotriazole to give amide (IV). The N-Boc group of (IV) was then deprotected with trifluoroacetic acid in CH2Cl2 to afford (V). Further coupling of (V) with D-naphthylalanine derivative (VI), followed by Boc deprotection with trifluoroacetic acid, provided dipeptide amide (VII). This dipeptide was coupled to intermediate amino acid (VIII) using EDC and 1-hydroxy-7-azabenzotriazole yielding tripeptide (IX). Finally, trifluoroacetic acid-promoted Boc-deprotection of (IX) provided the target compound. Intermediate amino acid (VIII) was prepared from 3-(tert-butoxycarbonylamino)-3-methylbutanoic acid (X) upon conversion to the mixed anhydride with ethyl chloroformate, followed by reduction to alcohol (XI) with LiBH4. Subsequent Swern oxidation of the alcohol (XI) furnished aldehyde (XII). This was condensed with triethyl phosphonoacetate, and then saponified with LiOH to produce the intermediate (VIII).

Drug Information Express,Drug R&D,Chemical Database,Patent Search.
Copyright © 2006-2026 Drug Future. All rights reserved.Contact Us