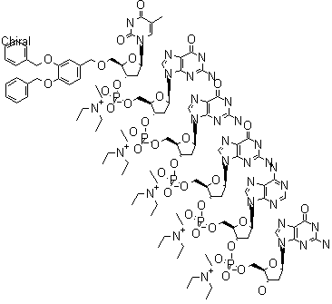
【药物名称】S-1401
化学结构式(Chemical Structure):
参考文献No.24727
标题:Modified oligodeoxyribonucleotides, their preparat
作者:Furukawa, H.; Momota, K.; Hotoda, H.; Koizumi, M.; Kaneko, M. (Sankyo Co., Ltd.)
来源:EP 0611075; JP 1995053587; JP 1995087982; US 5674856; US 5807837
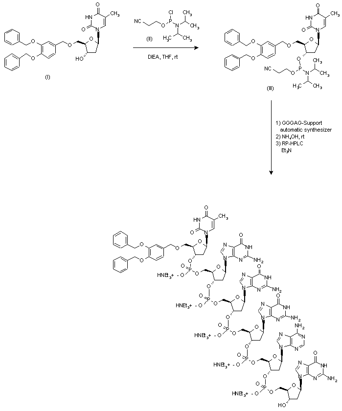
合成路线图解说明:

5'-O-(3,4-dibenzyloxybenzyl)thymidine (I) was converted to the corresponding phosphoramidite (III) upon treatment with 2-cyanoethyl-N,N-diisopropylchlorophosphoramidite (II) in the presence of diisopropylethylamine. This was applied to an automatic DNA synthesizer and coupled to the polymer support-linked pentadeoxyribonucleotide sequence GGGAG. The resulting oligonucleotide was liberated from the solid support using aqueous ammonia, and then purified by reverse phase-HPLC in the presence of a triethylammonium acetate buffer to furnish the title compound as the triethylammonium salt.

Drug Information Express,Drug R&D,Chemical Database,Patent Search.
Copyright © 2006-2026 Drug Future. All rights reserved.Contact Us