【药物名称】
化学结构式(Chemical Structure):
参考文献No.469550
标题:Conformationally constrained 1,3-diamino ketones: a series of potent inhibitors of the cysteine protease cathepsin K
作者:Marquis, R.W.; Yamashita, D.S.; Ru, Y.; LoCastro, S.M.; Oh, H.J.; Erhard, K.F.; DesJarlais, R.L.; Head, M.S.; Smith, W.W.; Zhao, B.; Janson, C.A.; Abdel-Meguid, S.S.; Tomaszek, T.A.; Levy, M.A.; Veber, D.F.
来源:J Med Chem 1998,41(19),3563
合成路线图解说明:

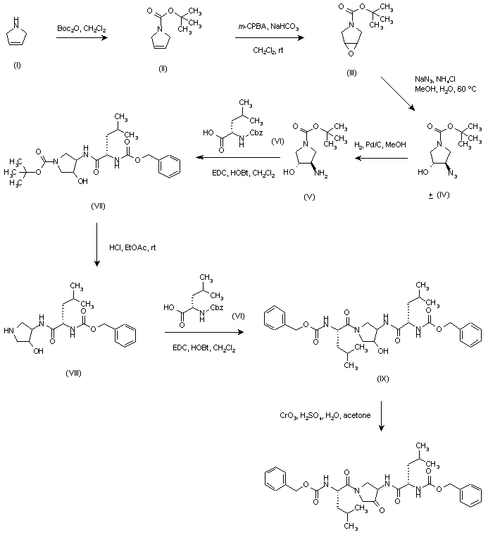
3-Pyrroline (I) was protected with di-tert-buyl dicarbonate to give N-Boc-pyrroline (II), which was then epoxidized with meta-chloroperbenzoic acid. The resulting epoxide (III) was opened with sodium azide in aqueous MeOH to yield trans-azidoalcohol (IV). Subsequent reduction of the azide (IV) to aminoalcohol (V) was effected by hydrogenation over Pd/C (1). Condensation of the racemic trans-aminoalcohol (V) with N-Cbz-L-leucine (VI) in the presence of EDC and HOBt provided amide (VII) as a diastereomeric mixture. The N-Boc group of (VII) was then deprotected with HCl in EtOAc, and the resulting amine (VIII) was coupled with another N-Cbz-L-leucine (VI) unit to give (IX). Oxidation of the alcohol group of (IX) to the target ketone was accomplished with Jones reagent in acetone. The diastereomeric mixture was separated by reverse phase-HPLC, however the diastereomers were not configurationally stable and reequilibrated spontaneusly to the original mixture.

Drug Information Express,Drug R&D,Chemical Database,Patent Search.
Copyright © 2006-2026 Drug Future. All rights reserved.Contact Us