【药物名称】
化学结构式(Chemical Structure):
参考文献No.469558
标题:2-Iminopyrrolidines as potent and selective inhibitors of human inducible nitric oxide synthase
作者:Hagen, T.J.; Bergmanis, A.A.; Kramer, S.W.; Fok, K.F.; Schmelzer, A.E.; Pitzele, B.S.; Swenton, L.; Jerome, G.M.; Kornmeier, C.M.; Moore, W.M.; Branson, L.F.; Connor, J.R.; Manning, P.T.; Currie, M.G.; Hallinan, E.A.
来源:J Med Chem 1998,41(19),3675
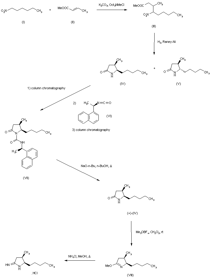
合成路线图解说明:

Michael addition of 1-nitrohexane (I) to methyl crotonate (II) provided nitroester (III) as a mixture of diastereoisomers. Reduction and cyclization of (III) by hydrogenation over Raney Nickel gave the cis- (IV) and trans- (V) pyrrolidinones, which were separated by column chromatography. Racemic cis isomer (IV) was resolved upon condensation with (R)-(+)-1-naphythylethyl isocyanate (VI) in boiling benzene, followed by chromatographic separation of the resulting diastereomeric mixture of ureides. The desired isomer (VII) was then hydrolyzed with sodium butoxide in refluxing n-BuOH to furnish the (+)-cis pyrrolidinone (+)(IV). Subsequent treatment with trimethyloxonium tetrafluoborate produced the iminoether (VIII), which was finally reacted with NH4Cl in refluxing MeOH to provide the corresponding iminopyrrolidine.

Drug Information Express,Drug R&D,Chemical Database,Patent Search.
Copyright © 2006-2026 Drug Future. All rights reserved.Contact Us