【药物名称】Ruprintrivir, AG-7088
化学结构式(Chemical Structure):
参考文献No.41125
标题:3-Phenylpyrrole alpha-1 adrenergic cpds.
作者:Meyer, M.D.; Daanen, J.F.; Ehrlich, P.P.; Ralston, J.W. (Abbott Laboratories Inc.)
来源:WO 9957122
合成路线图解说明:

Tetrahydrofuranone (XIII): The Grignard condensation of isobutyraldehyde (I) with vinylmagnesium bromide (II) in THF gives the magnesium alcoholate (III), which is condensed with ethyl malonyl chloride (IV) in the same solvent, yielding the mixed ester (V). Treatment of (V) with Ti(OEt)4 at 190 C affords 6-methyl-4(E)-heptenoic acid methyl ester (VI), which by reaction with (R,R)-(-)-pseudoephedrine (VII), oxalyl chloride and DMF in benzene gives the amide (VIII). The regiocontrolled addition of 4-fluorobenzyl chloride (IX) to the chiral amide (VIII) by means of BuLi and LiCl in THF yields the 2(S)-(4-fluorobenzyl)heptanamide (X), which by reaction with NBS in THF/water/acetic acid at 0 C, followed by reflux for 45 min, affords 5(S)-[1(R)-bromo-2-methylpropyl]-3(R)-(4-fluorobenzyl)tetrahydrofuran-2-one (XI). The reaction of (XI) with NaN3 in DMF gives the corresponding azide (XII), which is reduced with H2 over Pd/C, and the resulting amine is protected with tert-butoxycarbonyl anhydride to obtain the desired tetrahydrofuranone (XIII).

合成路线图解说明:

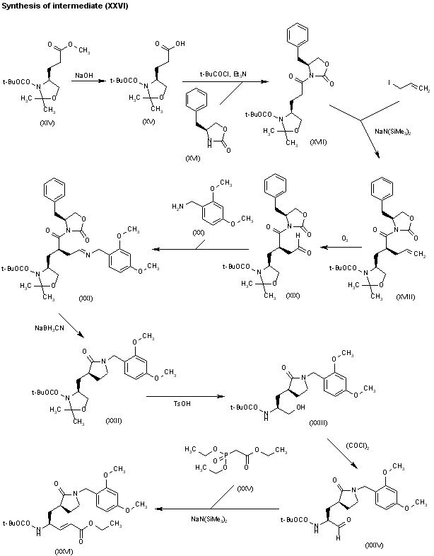
Pyrrolidinone (XXVI): The selective hydrolysis of the known methyl ester (XIV) with NaOH in methanol/water gives the corresponding carboxylic acid (XV), which is coupled with the chiral oxazolidinone (XVI) by means of pivaloyl chloride and Et3N in THF to yield the amide (XVII). The regiocontrolled alkylation of (XVII) with allyl iodide and NaN(SiMe3)2 in THF affords the allyl derivative (XVIII), which is submitted to ozonolysis in dichloromethane to provide the aldehyde (XIX). The condensation of (XIX) with 2,4-dimethoxybenzylamine (XX) yields imine (XXI), which by a reductive cyclization with NaBH3CN in THF/EtOH affords pyrrolidinone (XXII). Cleavage of the oxazolidine ring of (XXII) with TsOH in hot methanol gives the amino alcohol (XXIII), which is oxidized with oxalyl chloride in DMSO to the aldehyde (XXIV). Finally, this compound is condensed with triethyl phosphonoacetate (XXV) by means of NaN(SiMe3)2 in THF to provide the desired pyrrolidinone (XXVI).

参考文献No.537287
标题:Structure-based design, synthesis, and biological evaluation of irreversible human rhinovirus 3C protease inhibitors. 4. Incorporation of P1 lactam moieties as L-glutamine replacements
作者:Prins, T.J.; Zhou, R.; Dragovich, P.S.; Webber, S.E.; Marakovits, J.T.; Fuhrman, S.A.; Patick, A.K.; Matthews, D.A.; Lee, C.A.; Ford, C.E.; Burke, B.J.; Rejto, P.A.; Hendrickson, T.F.; Tuntland, T.; Brown, E.L.; Meador, J.W. III; et al.
来源:J Med Chem 1999,42(7),1213
合成路线图解说明:

Pyrrolidinone (XXVI): The selective hydrolysis of the known methyl ester (XIV) with NaOH in methanol/water gives the corresponding carboxylic acid (XV), which is coupled with the chiral oxazolidinone (XVI) by means of pivaloyl chloride and Et3N in THF to yield the amide (XVII). The regiocontrolled alkylation of (XVII) with allyl iodide and NaN(SiMe3)2 in THF affords the allyl derivative (XVIII), which is submitted to ozonolysis in dichloromethane to provide the aldehyde (XIX). The condensation of (XIX) with 2,4-dimethoxybenzylamine (XX) yields imine (XXI), which by a reductive cyclization with NaBH3CN in THF/EtOH affords pyrrolidinone (XXII). Cleavage of the oxazolidine ring of (XXII) with TsOH in hot methanol gives the amino alcohol (XXIII), which is oxidized with oxalyl chloride in DMSO to the aldehyde (XXIV). Finally, this compound is condensed with triethyl phosphonoacetate (XXV) by means of NaN(SiMe3)2 in THF to provide the desired pyrrolidinone (XXVI).

合成路线图解说明:

Final coupling: Deprotection of (XXVI) with HCl in dioxane followed by condensation with tetrahydrofuranone (XIII) by means of DIEA in DMF gives the amide (XXVII). This compound is also deprotected with HCl as before and condensed with 5-methylisoxazol-3-ylcarbonyl chloride (XVIII) by means of pyridine to afford the protected compound (XXIX), which is finally treated with DDQ, yielding AG-7088.

参考文献No.537449
标题:Structure-based design, synthesis, and biological evaluation of irreversible human rhinovirus 3C protease inhibitors. 3. Structure-activity studies of ketomethylene-containing peptidomimetics
作者:Dragovich, P.S.; Prins, T.J.; Zhou, R.; Fuhrman, S.A.; Patick, A.K.; Matthews, D.A.; Ford, C.E.; Meador, J.W. III; Ferre, R.A.; Worland, S.T.
来源:J Med Chem 1999,42(7),1203
合成路线图解说明:

Tetrahydrofuranone (XIII): The Grignard condensation of isobutyraldehyde (I) with vinylmagnesium bromide (II) in THF gives the magnesium alcoholate (III), which is condensed with ethyl malonyl chloride (IV) in the same solvent, yielding the mixed ester (V). Treatment of (V) with Ti(OEt)4 at 190 C affords 6-methyl-4(E)-heptenoic acid methyl ester (VI), which by reaction with (R,R)-(-)-pseudoephedrine (VII), oxalyl chloride and DMF in benzene gives the amide (VIII). The regiocontrolled addition of 4-fluorobenzyl chloride (IX) to the chiral amide (VIII) by means of BuLi and LiCl in THF yields the 2(S)-(4-fluorobenzyl)heptanamide (X), which by reaction with NBS in THF/water/acetic acid at 0 C, followed by reflux for 45 min, affords 5(S)-[1(R)-bromo-2-methylpropyl]-3(R)-(4-fluorobenzyl)tetrahydrofuran-2-one (XI). The reaction of (XI) with NaN3 in DMF gives the corresponding azide (XII), which is reduced with H2 over Pd/C, and the resulting amine is protected with tert-butoxycarbonyl anhydride to obtain the desired tetrahydrofuranone (XIII).

合成路线图解说明:

Final coupling: Deprotection of (XXVI) with HCl in dioxane followed by condensation with tetrahydrofuranone (XIII) by means of DIEA in DMF gives the amide (XXVII). This compound is also deprotected with HCl as before and condensed with 5-methylisoxazol-3-ylcarbonyl chloride (XVIII) by means of pyridine to afford the protected compound (XXIX), which is finally treated with DDQ, yielding AG-7088.

合成路线图解说明:

Isobutyraldehyde (I) was condensed with vinylmagnesium bromide (II) to provide allylic alcohol (III). Condensation of (III) with diethyl malonate (IV) in the presence of titanium ethoxide, followed by Claisen rearrangement at 190 C gave malonate (V). Subsequent basic hydrolysis of (V) with concomitant decarboxylation yielded 6-methyl-4-heptenoic acid (VI). This was transformed to the corresponding acid chloride by means of SOCl2 and then coupled with (1R,2R)-(-)-pseudoephedrine (VII) to produce the chiral amide (VIII). Alkylation of the dianion of (VIII) with benzyl bromide (IX) in the presence of LiCl afforded the benzylated compound (X). Further treatment of (X) with N-bromosuccinimide and AcOH in THF generated the bromolactone (XI). The bromo group of (XI) was then displaced with NaN3, and the resulting azide (XII) was hydrogenated in the presence of di-tert-butyl dicarbonate to provide carbamate (XIII). Basic hydrolysis of the lactone (XII) gave hydroxyacid (XIV), which was oxidized to ketoacid (XV) by means of N-methylmorpholine-N-oxide and tetrapropyl ammonium perruthenate.

合成路线图解说明:

Acid (XV) was coupled with protected amino acid (XVI) to give amide (XVII), and the Boc protecting group of (XVII) was then removed under acidic conditions. The resulting amine (XVIII) was condensed with cyclopentyl chlorothioformate (XIX) to provide thiocarbamate (XX). Finally, the title compound was obtained by trifluoroacetic acid-promoted cleavage of the trityl protecting group of (XIX).

合成路线图解说明:

Isobutyraldehyde (I) was condensed with vinylmagnesium bromide (II) to provide allylic alcohol (III).Transesterification with diethyl malonate (IV) in the presence of titanium ethoxide, followed by Claisen rearrangement at 190 C gave malonate (V). Subsequent basic hydrolysis of (V) with concomitant decarboxylation yielded 6-methyl-4-heptenoic acid (VI). This was transformed to the corresponding acid chloride by means of SOCl2 and then coupled with (1R,2R)-(-)-pseudoephedrine (VII) to produce the chiral amide (VIII). Alkylation of the dianion of (VIII) with 4-methylbenzyl bromide (IX) in the presence of LiCl afforded the benzylated compound (X). Further treatment of (X) with N-bromosuccinimide and AcOH in THF generated the bromolactone (XI). The bromo group of (XI) was then displaced with NaN3, and the resulting azide (XII) was hydrogenated in the presence of di-tert-butyl dicarbonate to provide carbamate (XIII). Basic hydrolysis of the lactone (XIII) gave hydroxyacid (XIV), which was oxidized to ketoacid (XV) by means of N-methylmorpholine-N-oxide and tetrapropyl ammonium perruthenate.

合成路线图解说明:

Acid (XV) was coupled with protected amino acid (XVI) to give amide (XVII), and the Boc protecting group of (XVII) was then removed under acidic conditions. The resulting amine (XVIII) was condensed with cyclopentyl chlorothioformate (XIX) to provide thiocarbamate (XX). Finally, the title compound was obtained by trifluoroacetic acid-promoted cleavage of the trityl protecting group of (XIX).

合成路线图解说明:

Isobutyraldehyde (I) was condensed with vinylmagnesium bromide (II) to provide allylic alcohol (III).Transesterification with diethyl malonate (IV) in the presence of titanium ethoxide, followed by Claisen rearrangement at 190 C gave malonate (V). Subsequent basic hydrolysis of (V) with concomitant decarboxylation yielded 6-methyl-4-heptenoic acid (VI). This was transformed to the corresponding acid chloride by means of SOCl2 and then coupled with (1R,2R)-(-)-pseudoephedrine (VII) to produce the chiral amide (VIII). Alkylation of the dianion of (VIII) with 4-flourobenzyl bromide (IX) in the presence of LiCl afforded the benzylated compound (X). Further treatment of (X) with N-bromosuccinimide and AcOH in THF generated the bromolactone (XI). The bromo group of (XI) was then displaced with NaN3, and the resulting azide (XII) was hydrogenated in the presence of di-tert-butyl dicarbonate to provide carbamate (XIII). Basic hydrolysis of the lactone (XIII) gave hydroxyacid (XIV), which was oxidized to ketoacid (XV) by means of N-methylmorpholine-N-oxide and tetrapropyl ammonium perruthenate.

合成路线图解说明:

Acid (XV) was coupled with protected amino acid (XVI) to give amide (XVII), and the Boc protecting group of (XVII) was then removed under acidic conditions. The resulting amine (XVIII) was condensed with cyclopentyl chlorothioformate (XIX) to provide thiocarbamate (XX). Finally, the title compound was obtained by trifluoroacetic acid-promoted cleavage of the trityl protecting group.

参考文献No.563720
标题:AG-7088
作者:Graul, A.; Casta馿r, J.
来源:Drugs Fut 2000,25(1),9
合成路线图解说明:

Tetrahydrofuranone (XIII): The Grignard condensation of isobutyraldehyde (I) with vinylmagnesium bromide (II) in THF gives the magnesium alcoholate (III), which is condensed with ethyl malonyl chloride (IV) in the same solvent, yielding the mixed ester (V). Treatment of (V) with Ti(OEt)4 at 190 C affords 6-methyl-4(E)-heptenoic acid methyl ester (VI), which by reaction with (R,R)-(-)-pseudoephedrine (VII), oxalyl chloride and DMF in benzene gives the amide (VIII). The regiocontrolled addition of 4-fluorobenzyl chloride (IX) to the chiral amide (VIII) by means of BuLi and LiCl in THF yields the 2(S)-(4-fluorobenzyl)heptanamide (X), which by reaction with NBS in THF/water/acetic acid at 0 C, followed by reflux for 45 min, affords 5(S)-[1(R)-bromo-2-methylpropyl]-3(R)-(4-fluorobenzyl)tetrahydrofuran-2-one (XI). The reaction of (XI) with NaN3 in DMF gives the corresponding azide (XII), which is reduced with H2 over Pd/C, and the resulting amine is protected with tert-butoxycarbonyl anhydride to obtain the desired tetrahydrofuranone (XIII).

合成路线图解说明:

Pyrrolidinone (XXVI): The selective hydrolysis of the known methyl ester (XIV) with NaOH in methanol/water gives the corresponding carboxylic acid (XV), which is coupled with the chiral oxazolidinone (XVI) by means of pivaloyl chloride and Et3N in THF to yield the amide (XVII). The regiocontrolled alkylation of (XVII) with allyl iodide and NaN(SiMe3)2 in THF affords the allyl derivative (XVIII), which is submitted to ozonolysis in dichloromethane to provide the aldehyde (XIX). The condensation of (XIX) with 2,4-dimethoxybenzylamine (XX) yields imine (XXI), which by a reductive cyclization with NaBH3CN in THF/EtOH affords pyrrolidinone (XXII). Cleavage of the oxazolidine ring of (XXII) with TsOH in hot methanol gives the amino alcohol (XXIII), which is oxidized with oxalyl chloride in DMSO to the aldehyde (XXIV). Finally, this compound is condensed with triethyl phosphonoacetate (XXV) by means of NaN(SiMe3)2 in THF to provide the desired pyrrolidinone (XXVI).

合成路线图解说明:

Final coupling: Deprotection of (XXVI) with HCl in dioxane followed by condensation with tetrahydrofuranone (XIII) by means of DIEA in DMF gives the amide (XXVII). This compound is also deprotected with HCl as before and condensed with 5-methylisoxazol-3-ylcarbonyl chloride (XVIII) by means of pyridine to afford the protected compound (XXIX), which is finally treated with DDQ, yielding AG-7088.

参考文献No.637646
标题:An efficient synthesis of a key intermediate for the preparation of the rhinovirus protease inhibitor AG7088 via asymmetric dianionic cyanomethylation of N-Boc-L-(+)-glutamic acid dimethyl ester
作者:Tian, Q.; et al.
来源:Tetrahedron Lett 2001,42(39),6807
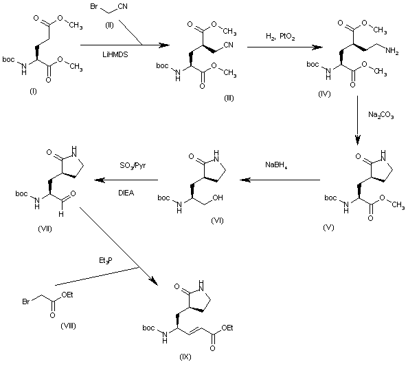
合成路线图解说明:

The alkylation of dimethyl L-glutamate (I) with 2-bromoacetonitrile (II) by means of LiHMDS in THF gives stereoselectively the cyanomethyl derivative (III), which is reduced with H2 over PtO2 in methanol/CHCl3 to yield the corresponding 2-aminoethyl derivative (IV). The cyclization of (IV) by means of Na2CO3 in the same solvent affords the pyrrolidinone (V), whose ester group is reduced with NaBH4 in methanol/THF to provide the propanol derivative (VI). The oxidation of (VI) with SO3/pyridine and DIEA in DMSO/dichloromethane gives the aldehyde (VII), which is finally condensed with ethyl 2-bromoacetate (VIII) by means of Et3P in dichloromethane to yield the chiral 4-(tert-butoxycarbonyl)-5-(2-oxopyrrolidin-3-yl)-2-pentanoic acid ethyl ester (IX), the desired target key intermediate.

Drug Information Express,Drug R&D,Chemical Database,Patent Search.
Copyright © 2006-2026 Drug Future. All rights reserved.Contact Us