【药物名称】PMS-601, MFH-1
化学结构式(Chemical Structure):
参考文献No.41778
标题:Piperazine derivs. inhibiting human immunodeficiency virus replication
作者:Martin, M.; Clayette, P.; Godfroid, J.-J.; Heymans, F.; Lamouri, A.; Dereuddre-Bosquet, N. (Commissariat a l'Energie Atomique; Universit?Denis Diderot - Paris 7)
来源:FR 2780649; WO 0001677
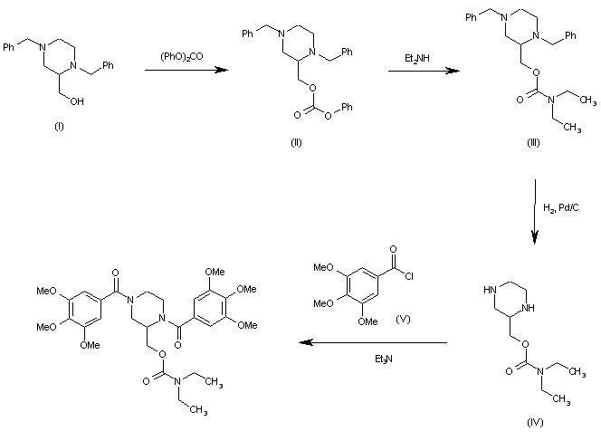
合成路线图解说明:

The esterification of 1,4-dibenzyl-2-(hydroxymethyl)piperazine (I) with diphenyl carbonate and triethylamine in dichloromethane gives the mixed carbonate ester (II), which is treated with refluxing diethylamine to yield the carbamate ester (III). The deprotection of (III) with H2 over Pd/C in ethanol/HCl affords N,N-diethylcarbamic acid piperazin-2-ylmethyl ester (IV), which is finally condensed with 3,4,5-trimethoxybenzoyl chloride (V) by means of triethylamine in dichloromethane.

Drug Information Express,Drug R&D,Chemical Database,Patent Search.
Copyright © 2006-2026 Drug Future. All rights reserved.Contact Us