【药物名称】ENC-41-HP
化学结构式(Chemical Structure):
参考文献No.669081
标题:Osteoadsorptive bisphosphonate derivatives of fluoroquinolone antibacterials
作者:Herczegh, P.; Buxton, T.B.; McPherson, J.C. III.; Kov醕s-Kulyassa, A.; Brewer, P.D.; Sztaricskai, F.; Stroebel, G.G.; Plowman, K.M.; Farcasiu, D.; Hartmann, J.F.
来源:J Med Chem 2002,45(11),2338
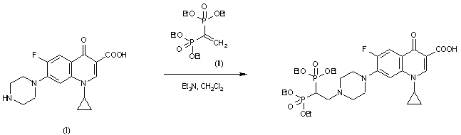
合成路线图解说明:

The title compound was synthesized by condensation of cyprofloxacin (I) with tetraethyl ethenylidenebisphosphonate (II) in the presence of Et3N in CH2Cl2

合成路线图解说明:

The condensation of 1-cyclopropyl-6-fluoro-4-oxo-7-(1-piperazinyl)-1,4-dihydroquinoline-3-carboxylic acid (I) with methylenediphosphonic acid tetraethyl ester (II) by means of TEA gives the addition product (III), which is finally hydrolyzed with trimethylsilyl bromide and water to afford the target diphosphonic acid.

Drug Information Express,Drug R&D,Chemical Database,Patent Search.
Copyright © 2006-2026 Drug Future. All rights reserved.Contact Us