【药物名称】A-184656
化学结构式(Chemical Structure):
参考文献No.36092
标题:6-O-Substd. ketolides having antibacterial activity
作者:Or, Y.S.; Ma, Z.; Clark, R.F.; Chu, D.T.; Plattner, J.J. (Abbott Laboratories Inc.)
来源:EP 0929563; US 5866549; WO 9809978
合成路线图解说明:

Acidic hydrolysis of the cladinose sugar of 6-O-allylerythromycin A (III) with HCl in ethanol/water yields the 3-hydroxy intermediate (IX), which is first protected at the 2'-OH group with acetic anhydride or benzoyl anhydride to (Xa) or (Xb) and then oxidized with NCS and dimethyl sulfide to the 3-oxoerythromycin derivatives (XIa) or (XIb). The reaction of (XIa) with CDI and LiH or (XIb) first with CDI and NaHMDS, then with DBU and finally with CDI and NaH, provides the 12-O-(1-imidazolylcarbonyl)erythromycin derivatives (XIIa) and (XIIb), which are cyclized with aqueous ammonia to the cyclic carbamates (VII) and (XIIIb). Finally, these compounds are condensed with 3-bromoquinoline (VIII) by means of palladium acetate, tris(o-tolyl)phosphine and Et3N in acetonitrile and deprotected with methanol 60-80%.

合成路线图解说明:

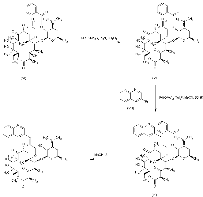
Alkylation of silylated erythromycin oxime (I) with allyl bromide in the presence of t-BuOK provided allyl ether (II). After acid hydrolysis of the cyclo hexylidene ketal of (II), the oxime group was removed by treatment with NaHSO3 and formic acid to afford ketone (IV). Subsequent cleavage of the 3-O-cladinose unit of (IV) by hydrolysis with HCl furnished ketolide (V). The 2'-hydroxyl group of (V) was then protected by benzoylation with benzoic anhydride yielding (VI).

合成路线图解说明:

Oxidation of the 3-hydroxyl group of (VI) by means of N-chlorosuccinimide in the presence of Me2S and Et3N produced ketone (VII). A 3-quinolinyl moiety was further introduced on the allyl group of (VII) by treatment with 3-bromoquinoline (VIII) in the presence of Pd(OAc)2 and tri-o-tolyl phosphine to yield (IX). Finally, the benzoate ester of (IX) was cleaved by treatment with boiling MeOH.

合成路线图解说明:

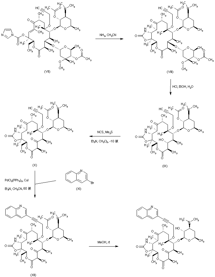
The title ketolide was synthesized starting from 2',4''-bis-O-trimethylsilylerythromycin A 9-O-(1-isopropoxycyclohexyl)oxime (I). Selective alkylation of (I) at the 6-hydroxyl group with propargyl bromide (II) furnished the propargyl ether (III). Then, acidic hydrolysis of the oxime ketal and the silyl ether groups of (III) provided (IV). Conversion of oxime (IV) into the corresponding ketone (V) was accomplished via diazotization with NaNO2 and HCl. The 2' and 4'' hydroxyl groups of (V) were then protected by esterification with acetic anhydride and DMAP to afford diacetate (VI). Treatment of (VI) with carbonyldiimidazole and NaH caused the elimination of the 11-hydroxyl group and formation of the 12-O-imidazolide (VII).

合成路线图解说明:

Conversion of imidazolide (VII) into the cyclic carbamate (VIII) was carried out employing liquid ammonia in cold acetonitrile. The 3-cladinose moiety of (VIII) was then selectively removed by smooth acidic hydrolysis, yielding (IX). Subsequent oxidation of the 3-hydroxyl group of (IX) by means of N-chlorsuccinimide in the presence of dimethyl sulfide led to the ketolide compound (X). Palladium-catalyzed coupling of 3-bromoquinoline (XI) to the terminal acetylenic position of (X) furnished (XII). The title compound was finally obtained by methanolysis of the 2'-acetate group of (XII) at room temperature.

参考文献No.481489
标题:Synthesis and antibacterial activity of 6-O-substituted ketolides
作者:Flamm, R.K.; Raney, P.M.; Nilius, A.M.; Bui, M.; Or, Y.S.; Wang, S.; Plattner, J.J.; Ma, Z.; Clark, R.; Chu, D.T.W.
来源:38th Intersci Conf Antimicrob Agents Chemother (Sept 24 1998, San Diego) 1998,Abst F-126
合成路线图解说明:

Alkylation of silylated erythromycin oxime (I) with allyl bromide in the presence of t-BuOK provided allyl ether (II). After acid hydrolysis of the cyclo hexylidene ketal of (II), the oxime group was removed by treatment with NaHSO3 and formic acid to afford ketone (IV). Subsequent cleavage of the 3-O-cladinose unit of (IV) by hydrolysis with HCl furnished ketolide (V). The 2'-hydroxyl group of (V) was then protected by benzoylation with benzoic anhydride yielding (VI).

合成路线图解说明:

Oxidation of the 3-hydroxyl group of (VI) by means of N-chlorosuccinimide in the presence of Me2S and Et3N produced ketone (VII). A 3-quinolinyl moiety was further introduced on the allyl group of (VII) by treatment with 3-bromoquinoline (VIII) in the presence of Pd(OAc)2 and tri-o-tolyl phosphine to yield (IX). Finally, the benzoate ester of (IX) was cleaved by treatment with boiling MeOH.

Drug Information Express,Drug R&D,Chemical Database,Patent Search.
Copyright © 2006-2026 Drug Future. All rights reserved.Contact Us