【药物名称】NNC-45-0781
化学结构式(Chemical Structure):
参考文献No.36484
标题:Novel (-)-enantiomers of cis-3,4-chroman derivs. useful in the prevention or treatment of estrogen related diseases or syndromes
作者:Jacobsen, P.; Treppendahl, S.; Stanley Bury, P.; Kanstrup, A.; Brown Christiansen, L. (Novo Nordisk A/S)
来源:EP 0937057; WO 9818771
合成路线图解说明:

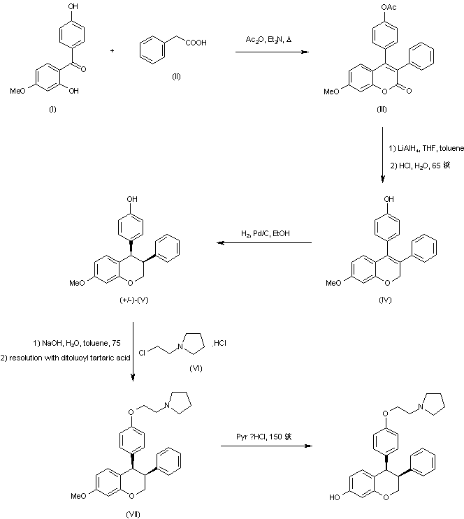
Coumarin (III) was prepared by condensation of benzophenone (I) with phenylacetic acid (II) in the presence of Ac2O and Et3N. Reduction of the lactone function of (III) with LiAlH4, followed by acidic treatment furnished diaryl chromene (IV). Subsequent hydrogenation of (IV) over Pd/C gave rise to the racemic cis chromane (V), which was O-alkylated with 1-(2-chloroethyl) pyrrolidine (VI) producing the corresponding (pyrrolidinyl)ethoxy derivative. Resolution by means of active ditoluoyl tartaric acid yielded the desired (-)-enantiomer (VII). Finally, cleavage of the methoxy group using pyridine hydrochloride at 150 C provided the title compound.

参考文献No.36489
标题:Novel cis-3,4-chroman derivs. useful in the prevention or treatment of estrogen related diseases or syndromes
作者:Jacobsen, P.; Treppendahl, S.; Stanley Bury, P.; Kanstrup, A.; Brown Christiansen, L. (Novo Nordisk A/S)
来源:EP 0937060; WO 9818776
合成路线图解说明:

Coumarin (III) was prepared by condensation of benzophenone (I) with phenylacetic acid (II) in the presence of Ac2O and Et3N. Reduction of the lactone function of (III) with LiAlH4, followed by acidic treatment furnished diaryl chromene (IV). Subsequent hydrogenation of (IV) over Pd/C gave rise to the racemic cis chromane (V), which was O-alkylated with 1-(2-chloroethyl) pyrrolidine (VI) producing the corresponding (pyrrolidinyl)ethoxy derivative. Resolution by means of active ditoluoyl tartaric acid yielded the desired (-)-enantiomer (VII). Finally, cleavage of the methoxy group using pyridine hydrochloride at 150 C provided the title compound.

参考文献No.650881
标题:Synthesis and pharmacological evaluation of novel cis-3,4-diaryl-hydroxychromanes as high affinity partial agonists for the estrogen receptor
作者:Bury, P.S.; Christiansen, L.B.; Jacobsen, P.; Jorgensen, A.S.; Kanstrup, A.; Naerum, L.; Bain, S.; Fledelius, C.; Gissel, B.; Hansen, B.S.; Korsgaard, N.; Thorpe, S.M.; Wassermann, K.
来源:Bioorg Med Chem 2002,10(1),125
合成路线图解说明:

Coumarin (III) was prepared by condensation of benzophenone (I) with phenylacetic acid (II) in the presence of Ac2O and Et3N. Reduction of the lactone function of (III) with LiAlH4, followed by acidic treatment furnished diaryl chromene (IV). Subsequent hydrogenation of (IV) over Pd/C gave rise to the racemic cis chromane (V), which was O-alkylated with 1-(2-chloroethyl) pyrrolidine (VI) producing the corresponding (pyrrolidinyl)ethoxy derivative. Resolution by means of active ditoluoyl tartaric acid yielded the desired (-)-enantiomer (VII). Finally, cleavage of the methoxy group using pyridine hydrochloride at 150 C provided the title compound.

Drug Information Express,Drug R&D,Chemical Database,Patent Search.
Copyright © 2006-2026 Drug Future. All rights reserved.Contact Us