【药物名称】PNU-176798
化学结构式(Chemical Structure):
参考文献No.482123
标题:Synthesis and antibacterial activity of azolylphenyl oxazolidinones having carbon-bound 1,3-thiazolyl rings
作者:Genin, M.J.; Grega, K.C.; Ford, C.W.; Barbachyn, M.R.; Walker, E.A.; Gadwood, R.C.; Thomasco, L.M.; Zurenko, G.E.
来源:38th Intersci Conf Antimicrob Agents Chemother (Sept 24 1998, San Diego) 1998,Abst F-139
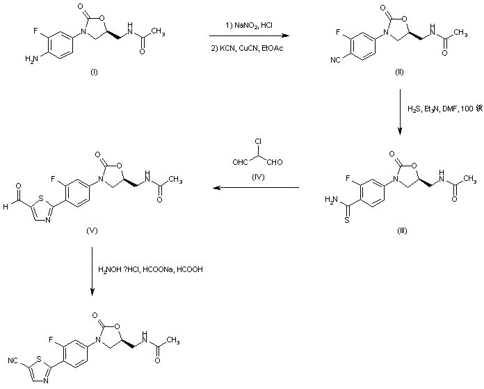
合成路线图解说明:

Nitrile (II) was prepared from the known amine (I) by diazotization, followed by cyanation with KCN and CuCN. Addition of H2S to (II) in the presence of Et3N in DMF afforded the thioamide (III), which was condensed with chloromalonaldehyde (IV) to produce thiazole (V). Reaction of the formyl group of (V) with hydroxylamine and sodium formate then yielded the target nitrile.

Drug Information Express,Drug R&D,Chemical Database,Patent Search.
Copyright © 2006-2026 Drug Future. All rights reserved.Contact Us