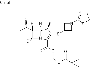
【药物名称】Tebipenem pivoxil, L-084
化学结构式(Chemical Structure):
参考文献No.26094
标题:2-(1-(1,3-Thiazolin-2-yl)azetidin-3-yl)thio-carbapenem derivs.
作者:Abe, T.; Isoda, T.; Sato, C.; Mihira, A.; Tamai, S.; Kumagai, T. (Lederle (Japan), Ltd.)
来源:EP 0632039; EP 0717042; JP 1996053453; US 5534510; US 5659043; US 5783703
合成路线图解说明:

Halogenation of allylamine (I) with either bromine or sulfuryl chloride produced the corresponding (halomethyl)aziridines (II). Subsequent treatment of (II) with n-butyllithium at -78 C yielded 1-azabicyclobutane (III). Opening of the bicyclic system of (III) with formic acid followed by acid hydrolysis provided 3-hydroxyazetidine (IV). This was condensed with 2-(methylsulfanyl)thiazoline (V) to give thiazolinylazetidine (VI). Alternatively, 3-hydroxyazetidine (IV) was condensed with 2-chloroethyl isothiocyanate (VII) to give the intermediate thiourea (VIII), which cyclized to the thiazoline (VI). Conversion of the hydroxyl group of (VI) into the thioacetate (IX) was carried out by either coupling with thioacetic acid under Mitsunobu conditions or by conversion to mesylate (X) followed by displacement with potassium thioacetate. The required thiol (XI) was then obtained from (IX) by basic hydrolysis of the thioacetate ester.

合成路线图解说明:

1-azabicyclobutane (III) was opened with thioacetic acid with concomitant N-acetylation yielding (XII). Further acid hydrolysis of (XII) gave 3-mercaptoazetidine (XIII). Condensation of (XIII) with either 2-(methylthio)thiazoline (V) or 2-chloroethyl isothiocyanate (VII) then produced thiazolinylazetidine (XI).

合成路线图解说明:

A further procedure consisted in the opening of 1-azabicyclobutane (III) with 2-mercaptothiazoline (XIV) to give (XV). Subsequent rearrangement of (XV) in the presence of methanesulfonic acid produced thiazolinyl azetidine (XI).

合成路线图解说明:

Condensation of (phosphoryloxy)carbapenem (XVI) with 3-mercapto-1-(1,3-thiazolin-2-yl)azetidine (XI) gave thioether (XVII). The p-nitrobenzyl ester group of (XVII) was then deprotected with Zn powder to afford the target carboxylic acid.

合成路线图解说明:

Halogenation of allylamine (I) with either bromine or sulfuryl chloride produced the corresponding (halomethyl)aziridines (II). Subsequent treatment of (II) with n-butyllithium at -78 C yielded 1-azabicyclobutane (III). Opening of the bicyclic system of (III) with formic acid followed by acid hydrolysis provided 3-hydroxyazetidine (IV). This was condensed with 2-(methylsulfanyl)thiazoline (V) to give thiazolinylazetidine (VI). Alternatively, 3-hydroxyazetidine (IV) was condensed with 2-chloroethyl isothiocyanate (VII) to give the intermediate thiourea (VIII), which cyclized to the thiazoline (VI). Conversion of the hydroxyl group of (VI) into the thioacetate (IX) was carried out by either coupling with thioacetic acid under Mitsunobu conditions or by conversion to mesylate (X) followed by displacement with potassium thioacetate. The required thiol (XI) was then obtained from (IX) by basic hydrolysis of the thioacetate ester.

合成路线图解说明:

1-azabicyclobutane (III) was opened with thioacetic acid with concomitant N-acetylation yielding (XII). Further acid hydrolysis of (XII) gave 3-mercaptoazetidine (XIII). Condensation of (XIII) with either 2-(methylthio)thiazoline (V) or 2-chloroethyl isothiocyanate (VII) then produced thiazolinylazetidine (XI).

合成路线图解说明:

A further procedure consisted in the opening of 1-azabicyclobutane (III) with 2-mercaptothiazoline (XIV) to give (XV). Subsequent rearrangement of (XV) in the presence of methanesulfonic acid produced thiazolinyl azetidine (XI).

合成路线图解说明:

Condensation of (phosphoryloxy)carbapenem (XVI) with 3-mercapto-1-(1,3-thiazolin-2-yl)azetidine (XI) gave thioether (XVII). The p-nitrobenzyl ester group of (XVII) was then deprotected with Zn powder to afford carboxylic acid. Finally, treatment of (XVIII) with either iodo or chloromethyl pivalate (XIX) produced the target compound.

参考文献No.33641
标题:Carbapenem-3-carboxylic acid ester derivs.
作者:Abe, T.; Kumagai, T. (Lederle (Japan), Ltd.)
来源:EP 0808315; JP 1999504039; US 5886172; WO 9721712
合成路线图解说明:

Halogenation of allylamine (I) with either bromine or sulfuryl chloride produced the corresponding (halomethyl)aziridines (II). Subsequent treatment of (II) with n-butyllithium at -78 C yielded 1-azabicyclobutane (III). Opening of the bicyclic system of (III) with formic acid followed by acid hydrolysis provided 3-hydroxyazetidine (IV). This was condensed with 2-(methylsulfanyl)thiazoline (V) to give thiazolinylazetidine (VI). Alternatively, 3-hydroxyazetidine (IV) was condensed with 2-chloroethyl isothiocyanate (VII) to give the intermediate thiourea (VIII), which cyclized to the thiazoline (VI). Conversion of the hydroxyl group of (VI) into the thioacetate (IX) was carried out by either coupling with thioacetic acid under Mitsunobu conditions or by conversion to mesylate (X) followed by displacement with potassium thioacetate. The required thiol (XI) was then obtained from (IX) by basic hydrolysis of the thioacetate ester.

合成路线图解说明:

Condensation of (phosphoryloxy)carbapenem (XVI) with 3-mercapto-1-(1,3-thiazolin-2-yl)azetidine (XI) gave thioether (XVII). The p-nitrobenzyl ester group of (XVII) was then deprotected with Zn powder to afford the target carboxylic acid.

合成路线图解说明:

Halogenation of allylamine (I) with either bromine or sulfuryl chloride produced the corresponding (halomethyl)aziridines (II). Subsequent treatment of (II) with n-butyllithium at -78 C yielded 1-azabicyclobutane (III). Opening of the bicyclic system of (III) with formic acid followed by acid hydrolysis provided 3-hydroxyazetidine (IV). This was condensed with 2-(methylsulfanyl)thiazoline (V) to give thiazolinylazetidine (VI). Alternatively, 3-hydroxyazetidine (IV) was condensed with 2-chloroethyl isothiocyanate (VII) to give the intermediate thiourea (VIII), which cyclized to the thiazoline (VI). Conversion of the hydroxyl group of (VI) into the thioacetate (IX) was carried out by either coupling with thioacetic acid under Mitsunobu conditions or by conversion to mesylate (X) followed by displacement with potassium thioacetate. The required thiol (XI) was then obtained from (IX) by basic hydrolysis of the thioacetate ester.

合成路线图解说明:

Condensation of (phosphoryloxy)carbapenem (XVI) with 3-mercapto-1-(1,3-thiazolin-2-yl)azetidine (XI) gave thioether (XVII). The p-nitrobenzyl ester group of (XVII) was then deprotected with Zn powder to afford carboxylic acid. Finally, treatment of (XVIII) with either iodo or chloromethyl pivalate (XIX) produced the target compound.

参考文献No.482126
标题:L-084, a new oral carbapenem: Synthesis and structure-activity relationships of C2-substituted 1beta-methylcarbapenems
作者:Satoh, C.; Mihira, A.; Yamamoto, S.; Hayashi, K.; Kitamura, M.; Tamai, S.; Abe, T.; Kumagai, T.; Hikida, M.
来源:38th Intersci Conf Antimicrob Agents Chemother (Sept 24 1998, San Diego) 1998,Abst F-64
合成路线图解说明:

Halogenation of allylamine (I) with either bromine or sulfuryl chloride produced the corresponding (halomethyl)aziridines (II). Subsequent treatment of (II) with n-butyllithium at -78 C yielded 1-azabicyclobutane (III). Opening of the bicyclic system of (III) with formic acid followed by acid hydrolysis provided 3-hydroxyazetidine (IV). This was condensed with 2-(methylsulfanyl)thiazoline (V) to give thiazolinylazetidine (VI). Alternatively, 3-hydroxyazetidine (IV) was condensed with 2-chloroethyl isothiocyanate (VII) to give the intermediate thiourea (VIII), which cyclized to the thiazoline (VI). Conversion of the hydroxyl group of (VI) into the thioacetate (IX) was carried out by either coupling with thioacetic acid under Mitsunobu conditions or by conversion to mesylate (X) followed by displacement with potassium thioacetate. The required thiol (XI) was then obtained from (IX) by basic hydrolysis of the thioacetate ester.

合成路线图解说明:

Condensation of (phosphoryloxy)carbapenem (XVI) with 3-mercapto-1-(1,3-thiazolin-2-yl)azetidine (XI) gave thioether (XVII). The p-nitrobenzyl ester group of (XVII) was then deprotected with Zn powder to afford the target carboxylic acid.

合成路线图解说明:

Halogenation of allylamine (I) with either bromine or sulfuryl chloride produced the corresponding (halomethyl)aziridines (II). Subsequent treatment of (II) with n-butyllithium at -78 C yielded 1-azabicyclobutane (III). Opening of the bicyclic system of (III) with formic acid followed by acid hydrolysis provided 3-hydroxyazetidine (IV). This was condensed with 2-(methylsulfanyl)thiazoline (V) to give thiazolinylazetidine (VI). Alternatively, 3-hydroxyazetidine (IV) was condensed with 2-chloroethyl isothiocyanate (VII) to give the intermediate thiourea (VIII), which cyclized to the thiazoline (VI). Conversion of the hydroxyl group of (VI) into the thioacetate (IX) was carried out by either coupling with thioacetic acid under Mitsunobu conditions or by conversion to mesylate (X) followed by displacement with potassium thioacetate. The required thiol (XI) was then obtained from (IX) by basic hydrolysis of the thioacetate ester.

合成路线图解说明:

Condensation of (phosphoryloxy)carbapenem (XVI) with 3-mercapto-1-(1,3-thiazolin-2-yl)azetidine (XI) gave thioether (XVII). The p-nitrobenzyl ester group of (XVII) was then deprotected with Zn powder to afford carboxylic acid. Finally, treatment of (XVIII) with either iodo or chloromethyl pivalate (XIX) produced the target compound.

Drug Information Express,Drug R&D,Chemical Database,Patent Search.
Copyright © 2006-2026 Drug Future. All rights reserved.Contact Us