【药物名称】J-114870
化学结构式(Chemical Structure):
参考文献No.39724
标题:Carbapenem derivs.
作者:Ushijima, R.; Sugimoto, Y.; Shimizu, A.; Kiyonaga, H.; Nagano, R.; Nakagawa, S.; Sakuraba, S.; Sato, H.; Hashizume, T.; Nakano, M.; Imamura, H.; Fukatsu, H. (Banyu Pharmaceutical Co., Ltd.)
来源:EP 1048669; JP 2000143512; WO 9931106
合成路线图解说明:

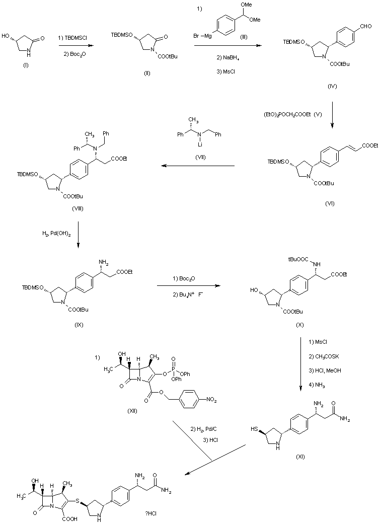
The reaction of the acetonide of (R)-3,4-dihydroxybutanal (I) with the silylated 4-bromobenzyl alcohol (II) by means of n-BuLi in THF gives the corresponding carbinol (III), which is oxidized to the ethanone (IV) by means of tetrapropylammonium perruthenate (TPAP) and NMO in dichloromethane. The enantioselective reduction of the ketone (IV) by means of LiAlH4 and an excess of LiI in ethyl ether gives the (R,S)-enantiomer (V), which is mesylated with MsCl/TEA in dichloromethane and treated with NaN3 in hot DMF to yield the azide (VI). The reduction of (VI) with triphenylphosphine in THF/water affords the amine (VII), which is treated with allyl chloroformate and TEA in THF providing the carbamate (VIII). The desilylation of (VIII) with TBAF in THF gives the benzyl alcohol (IX), which is mesylated with MsCl and TEA in dichloromethane yielding the mesyl ester (X). The reaction of (X) with NaN3 in DMF affords the azide (XI), which is reduced as before to the benzylamine (XII). The reaction of (XII) with allyl chloroformate provides the bis carbamate (XIII).

合成路线图解说明:

Compound (XIII) is treated with TsOH in methanol to eliminate the acetonide group and yield the diol (XIV). The dimesylation of (XIV) with MsCl and TEA as before affords the dimesylate (XV). The cyclization of (XV) by means of t-BuOK in THF gives the pyrrolidine (XVI), which is treated with potassium thioacetate in hot DMF to yield the acetylsulfanyl derivative (XVII).The selective hydrolysis of (XVII) with NaOH in methanol affords the thiol (XVIII), which is condensed with the protected carbapenem (XIX) by means of DIEA in acetonitrile to furnish the protected target compound (XX). Finally, this compound is deprotected by a treatment with (PPh3)2PdCl2 and Bu3SnH in dichloromethane/water.

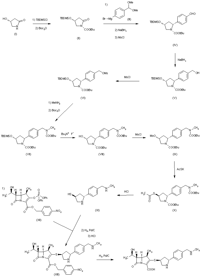
合成路线图解说明:

The protection of 4(R)-hydroxypyrrolidin-2-one (I) first with TBDMS-Cl and then with Boc2O gives the fully protected compound (II), which is condensed with the Grignard reagent of the 4-bromobenzaldehyde dimethyl acetal (III) yielding after working up the substituted benzaldehyde (IV). The reduction of (IV) with NaBH4 affords the benzyl alcohol (V), which is treated with methanesulfonyl chloride to give the corresponding mesylate (VI). The reaction of (VI) with methylamine, followed by protection with Boc2O yields the protected secondary amine (VII), which is desilylated with tetrabutylammonium fluoride to afford the pyrrolidinol (VIII). The reaction of (VIII) with MsCl gives the mesylate (IX), which is treated with potassium thioacetate to provide the acetylsulfanyl derivative (X). The hydrolysis and deprotection of (X) with HCl yields the pyrrolidinethiol (XI), which is condensed with the carbapenem phosphoric ester (XII) to afford the final 4-nitrobenzyl ester intermediate (XIII). Finally, this compound is debenzylated by hydrogenation with H2 over Pd/C.

合成路线图解说明:

(R)-4-hydroxy-2-pyrrolidinone (I) was protected as the tert-butyldimethylsilyl ether, and then converted to tert-butyl carbamate (II) by means of Boc2O. Subsequent condensation of (II) with Grignard reagent (III), followed by reduction with NaBH4, and acetal hydrolysis yielded the pyrrolidinyl benzaldehyde (IV). Horner-Emmons reaction of (IV) with phosphonate (V) produced the cinnamic acid derivative (VI), and further Michael addition of the chiral lithium amide (VII) furnished aminoester (VIII). After hydrogenolysis of both N-benzyl groups of (VIII), the resulting primary amine (IX) was protected with Boc2O, and the silyl ether was then cleaved by means of tetrabutylammonium fluoride to give the hydroxypyrrolidine derivative (X). This was converted to the required thiol (XI), which was then coupled with the carbapenem phosphate (XII). Finally, hydrogenolysis of the 4-nitrobenzyl ester of (XII) provided the title compound.

合成路线图解说明:

(R)-4-hydroxy-2-pyrrolidinone (I) was protected as the tert-butyldimethylsilyl ether, and then converted to tert-butyl carbamate (II) by means of Boc2O. Subsequent condensation of (II) with Grignard reagent (III), followed by reduction with NaBH4, and acetal hydrolysis yielded the pyrrolidinyl benzaldehyde (IV). Horner-Emmons reaction of (IV) with phosphonate (V) produced the cinnamic acid derivative (VI), and further Michael addition to (VI) of the chiral lithium amide (VII) furnished aminoester (VIII). After hydrogenolysis of both N-benzyl groups of (VIII), the resulting primary amine (IX) was protected with Boc2O, and the silyl ether was then cleaved by means of tetrabutylammonium fluoride to give the hydroxypyrrolidine derivative (X). This was converted to the required thiol (XI), which was then coupled with the carbapenem phosphate (XII). Finally, hydrogenolysis of the 4-nitrobenzyl ester of (XII) provided the title compound.

参考文献No.482151
标题:J-114,870 and J-114,871, novel trans-3,5-disubstituted pyrrolidinylthio 1beta-methylcarbapenems: Synthesis and physicochemical properties
作者:Imamura, H.; Sato, H.; Shimizu, A.; et al.
来源:38th Intersci Conf Antimicrob Agents Chemother (Sept 24 1998, San Diego) 1998,Abst F-56
合成路线图解说明:

(R)-4-hydroxy-2-pyrrolidinone (I) was protected as the tert-butyldimethylsilyl ether, and then converted to tert-butyl carbamate (II) by means of Boc2O. Subsequent condensation of (II) with Grignard reagent (III), followed by reduction with NaBH4, and acetal hydrolysis yielded the pyrrolidinyl benzaldehyde (IV). Horner-Emmons reaction of (IV) with phosphonate (V) produced the cinnamic acid derivative (VI), and further Michael addition of the chiral lithium amide (VII) furnished aminoester (VIII). After hydrogenolysis of both N-benzyl groups of (VIII), the resulting primary amine (IX) was protected with Boc2O, and the silyl ether was then cleaved by means of tetrabutylammonium fluoride to give the hydroxypyrrolidine derivative (X). This was converted to the required thiol (XI), which was then coupled with the carbapenem phosphate (XII). Finally, hydrogenolysis of the 4-nitrobenzyl ester of (XII) provided the title compound.

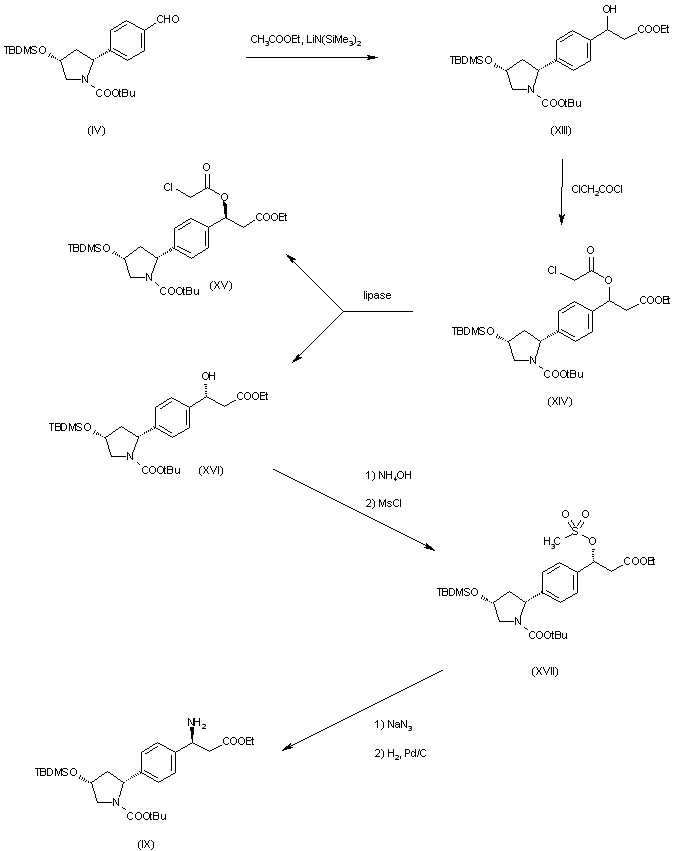
合成路线图解说明:

In an alternative procedure, aldehyde (IV) was condensed with ethyl acetate in the presence of lithium hexamethyldisilazide to give hydroxyester (XIII). This was esterified with chloroacetyl chloride to provide (XIV) as a diastereomeric mixture. Kinetic resolution of (XIV) employing lipase selectively hydrolyzed the required isomer to furnish hydroxyester (XVI), which was separated from the undesired chloroacetate (XV). Alcohol (XVI) was converted to mesylate (XVII). Subsequent displacement in (XVII) by NaN3 afforded the corresponding azide, which was reduced to amine (IX) by hydrogenation over Pd/C. This was finallyconverted to the title compound by the same sequence as above.

合成路线图解说明:

(R)-4-hydroxy-2-pyrrolidinone (I) was protected as the tert-butyldimethylsilyl ether, and then converted to tert-butyl carbamate (II) by means of Boc2O. Subsequent condensation of (II) with Grignard reagent (III), followed by reduction with NaBH4, and acetal hydrolysis yielded the pyrrolidinyl benzaldehyde (IV). Horner-Emmons reaction of (IV) with phosphonate (V) produced the cinnamic acid derivative (VI), and further Michael addition to (VI) of the chiral lithium amide (VII) furnished aminoester (VIII). After hydrogenolysis of both N-benzyl groups of (VIII), the resulting primary amine (IX) was protected with Boc2O, and the silyl ether was then cleaved by means of tetrabutylammonium fluoride to give the hydroxypyrrolidine derivative (X). This was converted to the required thiol (XI), which was then coupled with the carbapenem phosphate (XII). Finally, hydrogenolysis of the 4-nitrobenzyl ester of (XII) provided the title compound.

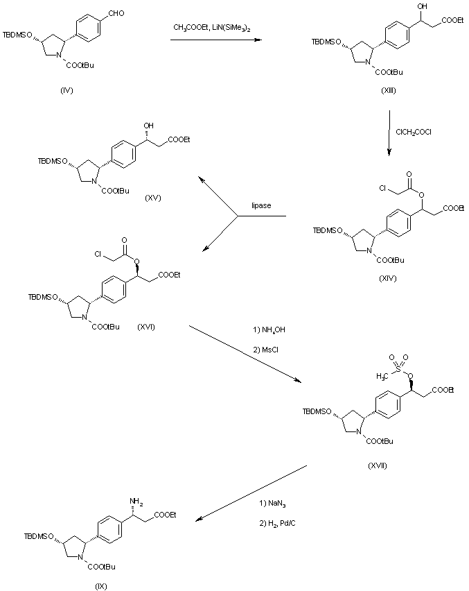
合成路线图解说明:

In an alternative procedure, aldehyde (IV) was condensed with ethyl acetate in the presence of lithium hexamethyldisilazide to give hydroxyester (XIII). This was esterified with chloroacetyl chloride to provide (XIV) as a diastereomeric mixture. Kinetic resolution of (XIV) employing lipase selectively hydrolyzed the undesired isomer to furnish hydroxyester (XV), which was separated from the required chloroacetate (XVI). After hydrolysis of the chloracetyl ester (XVI) by means of ammonium hydroxide, the resulting alcohol was converted to mesylate (XVII). Subsequent displacement in (XVII) by NaN3 afforded the corresponding azide, which was reduced to amine (IX) by hydrogenation over Pd/C. This was converted to the title compound by the same sequence as above.

参考文献No.482153
标题:J-111,225, a novel trans-3,5-disubstituted pyrrolidinylthio 1beta-methylcarbapenem; synthesis and physicochemical properties
作者:Sato, H.; Shimizu, A.; Imamura, H.; et al.
来源:38th Intersci Conf Antimicrob Agents Chemother (Sept 24 1998, San Diego) 1998,Abst F-61
合成路线图解说明:

The protection of 4(R)-hydroxypyrrolidin-2-one (I) first with TBDMS-Cl and then with Boc2O gives the fully protected compound (II), which is condensed with the Grignard reagent of the 4-bromobenzaldehyde dimethyl acetal (III) yielding after working up the substituted benzaldehyde (IV). The reduction of (IV) with NaBH4 affords the benzyl alcohol (V), which is treated with methanesulfonyl chloride to give the corresponding mesylate (VI). The reaction of (VI) with methylamine, followed by protection with Boc2O yields the protected secondary amine (VII), which is desilylated with tetrabutylammonium fluoride to afford the pyrrolidinol (VIII). The reaction of (VIII) with MsCl gives the mesylate (IX), which is treated with potassium thioacetate to provide the acetylsulfanyl derivative (X). The hydrolysis and deprotection of (X) with HCl yields the pyrrolidinethiol (XI), which is condensed with the carbapenem phosphoric ester (XII) to afford the final 4-nitrobenzyl ester intermediate (XIII). Finally, this compound is debenzylated by hydrogenation with H2 over Pd/C.

合成路线图解说明:

(R)-4-hydroxy-2-pyrrolidinone (I) was protected as the tert-butyldimethylsilyl ether, and then converted to tert-butyl carbamate (II) by means of Boc2O. Subsequent condensation of (II) with Grignard reagent (III), followed by reduction with NaBH4, and acetal hydrolysis yielded the pyrrolidinyl benzaldehyde (IV). Horner-Emmons reaction of (IV) with phosphonate (V) produced the cinnamic acid derivative (VI), and further Michael addition of the chiral lithium amide (VII) furnished aminoester (VIII). After hydrogenolysis of both N-benzyl groups of (VIII), the resulting primary amine (IX) was protected with Boc2O, and the silyl ether was then cleaved by means of tetrabutylammonium fluoride to give the hydroxypyrrolidine derivative (X). This was converted to the required thiol (XI), which was then coupled with the carbapenem phosphate (XII). Finally, hydrogenolysis of the 4-nitrobenzyl ester of (XII) provided the title compound.

合成路线图解说明:

(R)-4-hydroxy-2-pyrrolidinone (I) was protected as the tert-butyldimethylsilyl ether, and then converted to tert-butyl carbamate (II) by means of Boc2O. Subsequent condensation of (II) with Grignard reagent (III), followed by reduction with NaBH4, and acetal hydrolysis yielded the pyrrolidinyl benzaldehyde (IV). Horner-Emmons reaction of (IV) with phosphonate (V) produced the cinnamic acid derivative (VI), and further Michael addition to (VI) of the chiral lithium amide (VII) furnished aminoester (VIII). After hydrogenolysis of both N-benzyl groups of (VIII), the resulting primary amine (IX) was protected with Boc2O, and the silyl ether was then cleaved by means of tetrabutylammonium fluoride to give the hydroxypyrrolidine derivative (X). This was converted to the required thiol (XI), which was then coupled with the carbapenem phosphate (XII). Finally, hydrogenolysis of the 4-nitrobenzyl ester of (XII) provided the title compound.

参考文献No.565099
标题:Structure-activity relationships of trans-3,5-disubstituted pyrrolidinylthio-1beta-methylcarbapenems. Part 2: J-111,225, J-114,870, J-114,871 and related compounds
作者:Imamura, H.; Ohtake, N.; Shimizu, A.; Sato, H.; Sugimoto, Y.; Sakuraba, S.; Kiyonaga, H.; Suzuki-Sato, C.; Nakano, M.; Nagano, R.; Yamada, K.; Hashizume, T.; Morishima, H.
来源:Bioorg Med Chem Lett 2000,10(2),115
合成路线图解说明:

The protection of 4(R)-hydroxypyrrolidin-2-one (I) first with TBDMS-Cl and then with Boc2O gives the fully protected compound (II), which is condensed with the Grignard reagent of the 4-bromobenzaldehyde dimethyl acetal (III) yielding after working up the substituted benzaldehyde (IV). The reduction of (IV) with NaBH4 affords the benzyl alcohol (V), which is treated with methanesulfonyl chloride to give the corresponding mesylate (VI). The reaction of (VI) with methylamine, followed by protection with Boc2O yields the protected secondary amine (VII), which is desilylated with tetrabutylammonium fluoride to afford the pyrrolidinol (VIII). The reaction of (VIII) with MsCl gives the mesylate (IX), which is treated with potassium thioacetate to provide the acetylsulfanyl derivative (X). The hydrolysis and deprotection of (X) with HCl yields the pyrrolidinethiol (XI), which is condensed with the carbapenem phosphoric ester (XII) to afford the final 4-nitrobenzyl ester intermediate (XIII). Finally, this compound is debenzylated by hydrogenation with H2 over Pd/C.

合成路线图解说明:

(R)-4-hydroxy-2-pyrrolidinone (I) was protected as the tert-butyldimethylsilyl ether, and then converted to tert-butyl carbamate (II) by means of Boc2O. Subsequent condensation of (II) with Grignard reagent (III), followed by reduction with NaBH4, and acetal hydrolysis yielded the pyrrolidinyl benzaldehyde (IV). Horner-Emmons reaction of (IV) with phosphonate (V) produced the cinnamic acid derivative (VI), and further Michael addition of the chiral lithium amide (VII) furnished aminoester (VIII). After hydrogenolysis of both N-benzyl groups of (VIII), the resulting primary amine (IX) was protected with Boc2O, and the silyl ether was then cleaved by means of tetrabutylammonium fluoride to give the hydroxypyrrolidine derivative (X). This was converted to the required thiol (XI), which was then coupled with the carbapenem phosphate (XII). Finally, hydrogenolysis of the 4-nitrobenzyl ester of (XII) provided the title compound.

合成路线图解说明:

(R)-4-hydroxy-2-pyrrolidinone (I) was protected as the tert-butyldimethylsilyl ether, and then converted to tert-butyl carbamate (II) by means of Boc2O. Subsequent condensation of (II) with Grignard reagent (III), followed by reduction with NaBH4, and acetal hydrolysis yielded the pyrrolidinyl benzaldehyde (IV). Horner-Emmons reaction of (IV) with phosphonate (V) produced the cinnamic acid derivative (VI), and further Michael addition to (VI) of the chiral lithium amide (VII) furnished aminoester (VIII). After hydrogenolysis of both N-benzyl groups of (VIII), the resulting primary amine (IX) was protected with Boc2O, and the silyl ether was then cleaved by means of tetrabutylammonium fluoride to give the hydroxypyrrolidine derivative (X). This was converted to the required thiol (XI), which was then coupled with the carbapenem phosphate (XII). Finally, hydrogenolysis of the 4-nitrobenzyl ester of (XII) provided the title compound.

参考文献No.590759
标题:Discovery of novel trans-3,5-disubstituted pyrrolidinylthio-1beta-methylcarbapenems
作者:Imamura, H.; Ohtake, N.; Shimizu, A.; Sato, H.; Sugimoto, Y.; Sakuraba, S.; Nagano, R.; Nakano, M.; Abe, S.; Suzuki-Sato, C.; Nishimura, I.; Kojima, H.; Tsuchiya, Y.; Yamada, K.; Hashizume, T.; Morishima, H.
来源:Bioorg Med Chem 2000,8(8),1969
合成路线图解说明:

The reaction of the acetonide of (R)-3,4-dihydroxybutanal (I) with the silylated 4-bromobenzyl alcohol (II) by means of n-BuLi in THF gives the corresponding carbinol (III), which is oxidized to the ethanone (IV) by means of tetrapropylammonium perruthenate (TPAP) and NMO in dichloromethane. The enantioselective reduction of the ketone (IV) by means of LiAlH4 and an excess of LiI in ethyl ether gives the (R,S)-enantiomer (V), which is mesylated with MsCl/TEA in dichloromethane and treated with NaN3 in hot DMF to yield the azide (VI). The reduction of (VI) with triphenylphosphine in THF/water affords the amine (VII), which is treated with allyl chloroformate and TEA in THF providing the carbamate (VIII). The desilylation of (VIII) with TBAF in THF gives the benzyl alcohol (IX), which is mesylated with MsCl and TEA in dichloromethane yielding the mesyl ester (X). The reaction of (X) with NaN3 in DMF affords the azide (XI), which is reduced as before to the benzylamine (XII). The reaction of (XII) with allyl chloroformate provides the bis carbamate (XIII).

合成路线图解说明:

Compound (XIII) is treated with TsOH in methanol to eliminate the acetonide group and yield the diol (XIV). The dimesylation of (XIV) with MsCl and TEA as before affords the dimesylate (XV). The cyclization of (XV) by means of t-BuOK in THF gives the pyrrolidine (XVI), which is treated with potassium thioacetate in hot DMF to yield the acetylsulfanyl derivative (XVII).The selective hydrolysis of (XVII) with NaOH in methanol affords the thiol (XVIII), which is condensed with the protected carbapenem (XIX) by means of DIEA in acetonitrile to furnish the protected target compound (XX). Finally, this compound is deprotected by a treatment with (PPh3)2PdCl2 and Bu3SnH in dichloromethane/water.

合成路线图解说明:

The protection of 4(R)-hydroxypyrrolidin-2-one (I) first with TBDMS-Cl and then with Boc2O gives the fully protected compound (II), which is condensed with the Grignard reagent of the 4-bromobenzaldehyde dimethyl acetal (III) yielding after working up the substituted benzaldehyde (IV). The reduction of (IV) with NaBH4 affords the benzyl alcohol (V), which is treated with methanesulfonyl chloride to give the corresponding mesylate (VI). The reaction of (VI) with methylamine, followed by protection with Boc2O yields the protected secondary amine (VII), which is desilylated with tetrabutylammonium fluoride to afford the pyrrolidinol (VIII). The reaction of (VIII) with MsCl gives the mesylate (IX), which is treated with potassium thioacetate to provide the acetylsulfanyl derivative (X). The hydrolysis and deprotection of (X) with HCl yields the pyrrolidinethiol (XI), which is condensed with the carbapenem phosphoric ester (XII) to afford the final 4-nitrobenzyl ester intermediate (XIII). Finally, this compound is debenzylated by hydrogenation with H2 over Pd/C.

合成路线图解说明:

(R)-4-hydroxy-2-pyrrolidinone (I) was protected as the tert-butyldimethylsilyl ether, and then converted to tert-butyl carbamate (II) by means of Boc2O. Subsequent condensation of (II) with Grignard reagent (III), followed by reduction with NaBH4, and acetal hydrolysis yielded the pyrrolidinyl benzaldehyde (IV). Horner-Emmons reaction of (IV) with phosphonate (V) produced the cinnamic acid derivative (VI), and further Michael addition of the chiral lithium amide (VII) furnished aminoester (VIII). After hydrogenolysis of both N-benzyl groups of (VIII), the resulting primary amine (IX) was protected with Boc2O, and the silyl ether was then cleaved by means of tetrabutylammonium fluoride to give the hydroxypyrrolidine derivative (X). This was converted to the required thiol (XI), which was then coupled with the carbapenem phosphate (XII). Finally, hydrogenolysis of the 4-nitrobenzyl ester of (XII) provided the title compound.

合成路线图解说明:

(R)-4-hydroxy-2-pyrrolidinone (I) was protected as the tert-butyldimethylsilyl ether, and then converted to tert-butyl carbamate (II) by means of Boc2O. Subsequent condensation of (II) with Grignard reagent (III), followed by reduction with NaBH4, and acetal hydrolysis yielded the pyrrolidinyl benzaldehyde (IV). Horner-Emmons reaction of (IV) with phosphonate (V) produced the cinnamic acid derivative (VI), and further Michael addition to (VI) of the chiral lithium amide (VII) furnished aminoester (VIII). After hydrogenolysis of both N-benzyl groups of (VIII), the resulting primary amine (IX) was protected with Boc2O, and the silyl ether was then cleaved by means of tetrabutylammonium fluoride to give the hydroxypyrrolidine derivative (X). This was converted to the required thiol (XI), which was then coupled with the carbapenem phosphate (XII). Finally, hydrogenolysis of the 4-nitrobenzyl ester of (XII) provided the title compound.

参考文献No.594383
标题:Stereoselective synthesis of a broad spectrum 1 beta-methylcarbapenem, J-114,870
作者:Yamada, K.; Miura, K.; Nishimura, I.; Shimizu, A.; Morishima, H.; Abe, S.; Nakajima, S.; Sakuraba, S.; Imamura, H.; Sato, H.; Sugimoto, Y.
来源:Tetrahedron 2000,56(39),7705
合成路线图解说明:

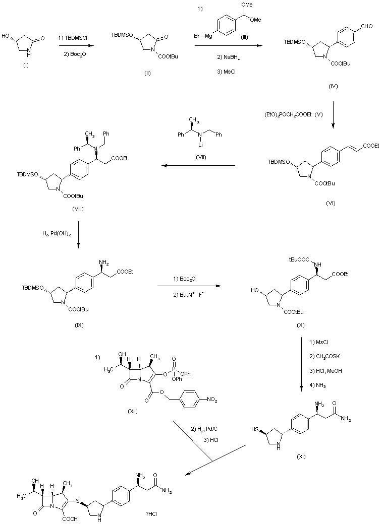
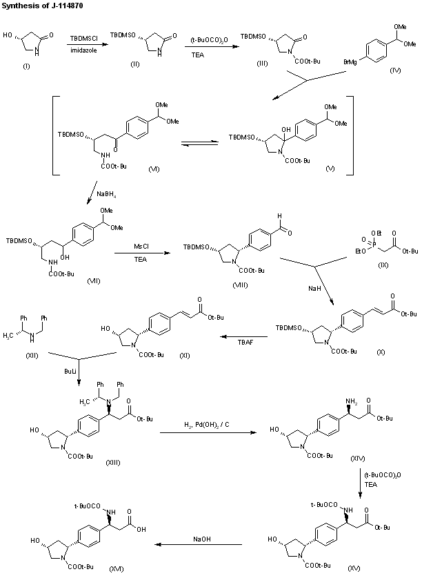
Silylation of 4(R)-hydroxy-2-pyrrolidone (I) with TBDMS-Cl and imidazole in DMF gives the silyl ether (II), which is protected at the NH group with Boc2O, TEA and DMAP in acetonitrile to yield the protected pyrrolidone derivative (III). Reaction of pyrrolidone (III) with the Grignard reagent (IV) in THF affords the 2-hydroxypyrrolidine adduct (V) in equilibrium with an open-chain form (VI). Reduction of the ketonic group of (VI) with NaBH4 in methanol in the same vessel provides the alcohol (VII), which is cyclized by means of MsCl and TEA in dichloromethane and then treated with TsOH in THF/H2O to furnish the pyrrolidine-benzaldehyde (VIII). The Wittig condensation of the aldehyde group of (VIII) with the phosphonate (IX) by means of NaH in THF gives the cinnamic ester derivative (X), which is desilylated with TBAF in THF to yield the hydroxy pyrrolidine (XI). Stereo-controlled condensation of (XI) with the chiral amine (XII) by means of BuLi in THF affords the N-alkylated b-amino ester (XIII), which is debenzylated with H2 over Pd(OH)2/C in HOAc/methanol to provide the free amino ester (XIV). The protection of the NH2 group of (XIV) with Boc2O and TEA in dioxane/water gives the N-protected amino ester (XV), which is hydrolyzed with NaOH in hot ethanol to afford the carboxylic acid (XVI).

合成路线图解说明:

Reaction of the carboxylic acid (XVI) with MsCl and TEA in THF yields the fully protected mixed anhydride (XVII). The chemo-selective ammonolysis of anhydride (XVII) gives amide (XVIII), which by displacement of the mesyloxy group with potassium thioacetate in hot DMF yields the thioacetate (XIX). Removal of the Boc protecting groups of (XIX) with HCl in ethyl acetate affords compound (XX), which is reprotected with allyl chloroformate (XXI) and TEA in dichloromethane to provide the bis(allyloxycarbonyl) compound (XXII). Hydrolysis of the thioacetate group of (XXII) with NaOH in methanol gives the thiol compound (XXIII), which is condensed with the carbape- nem diphenyl phosphate (XXIV) by means of DIEA in acetonitrile to provide the expected adduct (XXV). Finally, this compound is deprotected by a treatment with Bu3SnH and PdCl2(PPh3)2 in dichloromethane/water.

Drug Information Express,Drug R&D,Chemical Database,Patent Search.
Copyright © 2006-2026 Drug Future. All rights reserved.Contact Us