【药物名称】J-111225
化学结构式(Chemical Structure):
参考文献No.39724
标题:Carbapenem derivs.
作者:Ushijima, R.; Sugimoto, Y.; Shimizu, A.; Kiyonaga, H.; Nagano, R.; Nakagawa, S.; Sakuraba, S.; Sato, H.; Hashizume, T.; Nakano, M.; Imamura, H.; Fukatsu, H. (Banyu Pharmaceutical Co., Ltd.)
来源:EP 1048669; JP 2000143512; WO 9931106
合成路线图解说明:

The reaction of the acetonide of (R)-3,4-dihydroxybutanal (I) with the silylated 4-bromobenzyl alcohol (II) by means of n-BuLi in THF gives the corresponding carbinol (III), which is oxidized to the ethanone (IV) by means of tetrapropylammonium perruthenate (TPAP) and NMO in dichloromethane. The enantioselective reduction of the ketone (IV) by means of LiAlH4 and an excess of LiI in ethyl ether gives the (R,S)-enantiomer (V), which is mesylated with MsCl/TEA in dichloromethane and treated with NaN3 in hot DMF to yield the azide (VI). The reduction of (VI) with triphenylphosphine in THF/water affords the amine (VII), which is treated with allyl chloroformate and TEA in THF providing the carbamate (VIII). The desilylation of (VIII) with TBAF in THF gives the benzyl alcohol (IX), which is mesylated with MsCl and TEA in dichloromethane yielding the mesyl ester (X). The reaction of (X) with NaN3 in DMF affords the azide (XI), which is reduced as before to the benzylamine (XII). The reaction of (XII) with allyl chloroformate provides the bis carbamate (XIII).

合成路线图解说明:

Compound (XIII) is treated with TsOH in methanol to eliminate the acetonide group and yield the diol (XIV). The dimesylation of (XIV) with MsCl and TEA as before affords the dimesylate (XV). The cyclization of (XV) by means of t-BuOK in THF gives the pyrrolidine (XVI), which is treated with potassium thioacetate in hot DMF to yield the acetylsulfanyl derivative (XVII).The selective hydrolysis of (XVII) with NaOH in methanol affords the thiol (XVIII), which is condensed with the protected carbapenem (XIX) by means of DIEA in acetonitrile to furnish the protected target compound (XX). Finally, this compound is deprotected by a treatment with (PPh3)2PdCl2 and Bu3SnH in dichloromethane/water.

合成路线图解说明:

The protection of 4(R)-hydroxypyrrolidin-2-one (I) first with TBDMS-Cl and then with Boc2O gives the fully protected compound (II), which is condensed with the Grignard reagent of the 4-bromobenzaldehyde dimethyl acetal (III) yielding after working up the substituted benzaldehyde (IV). The reduction of (IV) with NaBH4 affords the benzyl alcohol (V), which is treated with methanesulfonyl chloride to give the corresponding mesylate (VI). The reaction of (VI) with methylamine, followed by protection with Boc2O yields the protected secondary amine (VII), which is desilylated with tetrabutylammonium fluoride to afford the pyrrolidinol (VIII). The reaction of (VIII) with MsCl gives the mesylate (IX), which is treated with potassium thioacetate to provide the acetylsulfanyl derivative (X). The hydrolysis and deprotection of (X) with HCl yields the pyrrolidinethiol (XI), which is condensed with the carbapenem phosphoric ester (XII) to afford the final 4-nitrobenzyl ester intermediate (XIII). Finally, this compound is debenzylated by hydrogenation with H2 over Pd/C.

合成路线图解说明:

(R)-4-hydroxy-2-pyrrolidinone (I) was protected as the tert-butyldimethylsilyl ether, and then converted to tert-butyl carbamate (II) by means of Boc2O. Subsequent condensation of (II) with Grignard reagent (III), followed by reduction with NaBH4, and acetal hydrolysis yielded the pyrrolidinyl benzaldehyde (IV). Horner-Emmons reaction of (IV) with phosphonate (V) produced the cinnamic acid derivative (VI), and further Michael addition of the chiral lithium amide (VII) furnished aminoester (VIII). After hydrogenolysis of both N-benzyl groups of (VIII), the resulting primary amine (IX) was protected with Boc2O, and the silyl ether was then cleaved by means of tetrabutylammonium fluoride to give the hydroxypyrrolidine derivative (X). This was converted to the required thiol (XI), which was then coupled with the carbapenem phosphate (XII). Finally, hydrogenolysis of the 4-nitrobenzyl ester of (XII) provided the title compound.

合成路线图解说明:

(R)-4-hydroxy-2-pyrrolidinone (I) was protected as the tert-butyldimethylsilyl ether, and then converted to tert-butyl carbamate (II) by means of Boc2O. Subsequent condensation of (II) with Grignard reagent (III), followed by reduction with NaBH4, and acetal hydrolysis yielded the pyrrolidinyl benzaldehyde (IV). Horner-Emmons reaction of (IV) with phosphonate (V) produced the cinnamic acid derivative (VI), and further Michael addition to (VI) of the chiral lithium amide (VII) furnished aminoester (VIII). After hydrogenolysis of both N-benzyl groups of (VIII), the resulting primary amine (IX) was protected with Boc2O, and the silyl ether was then cleaved by means of tetrabutylammonium fluoride to give the hydroxypyrrolidine derivative (X). This was converted to the required thiol (XI), which was then coupled with the carbapenem phosphate (XII). Finally, hydrogenolysis of the 4-nitrobenzyl ester of (XII) provided the title compound.

参考文献No.482153
标题:J-111,225, a novel trans-3,5-disubstituted pyrrolidinylthio 1beta-methylcarbapenem; synthesis and physicochemical properties
作者:Sato, H.; Shimizu, A.; Imamura, H.; et al.
来源:38th Intersci Conf Antimicrob Agents Chemother (Sept 24 1998, San Diego) 1998,Abst F-61
合成路线图解说明:

The protection of 4(R)-hydroxypyrrolidin-2-one (I) first with TBDMS-Cl and then with Boc2O gives the fully protected compound (II), which is condensed with the Grignard reagent of the 4-bromobenzaldehyde dimethyl acetal (III) yielding after working up the substituted benzaldehyde (IV). The reduction of (IV) with NaBH4 affords the benzyl alcohol (V), which is treated with methanesulfonyl chloride to give the corresponding mesylate (VI). The reaction of (VI) with methylamine, followed by protection with Boc2O yields the protected secondary amine (VII), which is desilylated with tetrabutylammonium fluoride to afford the pyrrolidinol (VIII). The reaction of (VIII) with MsCl gives the mesylate (IX), which is treated with potassium thioacetate to provide the acetylsulfanyl derivative (X). The hydrolysis and deprotection of (X) with HCl yields the pyrrolidinethiol (XI), which is condensed with the carbapenem phosphoric ester (XII) to afford the final 4-nitrobenzyl ester intermediate (XIII). Finally, this compound is debenzylated by hydrogenation with H2 over Pd/C.

合成路线图解说明:

(R)-4-hydroxy-2-pyrrolidinone (I) was protected as the tert-butyldimethylsilyl ether, and then converted to tert-butyl carbamate (II) by means of Boc2O. Subsequent condensation of (II) with Grignard reagent (III), followed by reduction with NaBH4, and acetal hydrolysis yielded the pyrrolidinyl benzaldehyde (IV). Horner-Emmons reaction of (IV) with phosphonate (V) produced the cinnamic acid derivative (VI), and further Michael addition of the chiral lithium amide (VII) furnished aminoester (VIII). After hydrogenolysis of both N-benzyl groups of (VIII), the resulting primary amine (IX) was protected with Boc2O, and the silyl ether was then cleaved by means of tetrabutylammonium fluoride to give the hydroxypyrrolidine derivative (X). This was converted to the required thiol (XI), which was then coupled with the carbapenem phosphate (XII). Finally, hydrogenolysis of the 4-nitrobenzyl ester of (XII) provided the title compound.

合成路线图解说明:

(R)-4-hydroxy-2-pyrrolidinone (I) was protected as the tert-butyldimethylsilyl ether, and then converted to tert-butyl carbamate (II) by means of Boc2O. Subsequent condensation of (II) with Grignard reagent (III), followed by reduction with NaBH4, and acetal hydrolysis yielded the pyrrolidinyl benzaldehyde (IV). Horner-Emmons reaction of (IV) with phosphonate (V) produced the cinnamic acid derivative (VI), and further Michael addition to (VI) of the chiral lithium amide (VII) furnished aminoester (VIII). After hydrogenolysis of both N-benzyl groups of (VIII), the resulting primary amine (IX) was protected with Boc2O, and the silyl ether was then cleaved by means of tetrabutylammonium fluoride to give the hydroxypyrrolidine derivative (X). This was converted to the required thiol (XI), which was then coupled with the carbapenem phosphate (XII). Finally, hydrogenolysis of the 4-nitrobenzyl ester of (XII) provided the title compound.

参考文献No.565099
标题:Structure-activity relationships of trans-3,5-disubstituted pyrrolidinylthio-1beta-methylcarbapenems. Part 2: J-111,225, J-114,870, J-114,871 and related compounds
作者:Imamura, H.; Ohtake, N.; Shimizu, A.; Sato, H.; Sugimoto, Y.; Sakuraba, S.; Kiyonaga, H.; Suzuki-Sato, C.; Nakano, M.; Nagano, R.; Yamada, K.; Hashizume, T.; Morishima, H.
来源:Bioorg Med Chem Lett 2000,10(2),115
合成路线图解说明:

The protection of 4(R)-hydroxypyrrolidin-2-one (I) first with TBDMS-Cl and then with Boc2O gives the fully protected compound (II), which is condensed with the Grignard reagent of the 4-bromobenzaldehyde dimethyl acetal (III) yielding after working up the substituted benzaldehyde (IV). The reduction of (IV) with NaBH4 affords the benzyl alcohol (V), which is treated with methanesulfonyl chloride to give the corresponding mesylate (VI). The reaction of (VI) with methylamine, followed by protection with Boc2O yields the protected secondary amine (VII), which is desilylated with tetrabutylammonium fluoride to afford the pyrrolidinol (VIII). The reaction of (VIII) with MsCl gives the mesylate (IX), which is treated with potassium thioacetate to provide the acetylsulfanyl derivative (X). The hydrolysis and deprotection of (X) with HCl yields the pyrrolidinethiol (XI), which is condensed with the carbapenem phosphoric ester (XII) to afford the final 4-nitrobenzyl ester intermediate (XIII). Finally, this compound is debenzylated by hydrogenation with H2 over Pd/C.

合成路线图解说明:

(R)-4-hydroxy-2-pyrrolidinone (I) was protected as the tert-butyldimethylsilyl ether, and then converted to tert-butyl carbamate (II) by means of Boc2O. Subsequent condensation of (II) with Grignard reagent (III), followed by reduction with NaBH4, and acetal hydrolysis yielded the pyrrolidinyl benzaldehyde (IV). Horner-Emmons reaction of (IV) with phosphonate (V) produced the cinnamic acid derivative (VI), and further Michael addition of the chiral lithium amide (VII) furnished aminoester (VIII). After hydrogenolysis of both N-benzyl groups of (VIII), the resulting primary amine (IX) was protected with Boc2O, and the silyl ether was then cleaved by means of tetrabutylammonium fluoride to give the hydroxypyrrolidine derivative (X). This was converted to the required thiol (XI), which was then coupled with the carbapenem phosphate (XII). Finally, hydrogenolysis of the 4-nitrobenzyl ester of (XII) provided the title compound.

合成路线图解说明:

(R)-4-hydroxy-2-pyrrolidinone (I) was protected as the tert-butyldimethylsilyl ether, and then converted to tert-butyl carbamate (II) by means of Boc2O. Subsequent condensation of (II) with Grignard reagent (III), followed by reduction with NaBH4, and acetal hydrolysis yielded the pyrrolidinyl benzaldehyde (IV). Horner-Emmons reaction of (IV) with phosphonate (V) produced the cinnamic acid derivative (VI), and further Michael addition to (VI) of the chiral lithium amide (VII) furnished aminoester (VIII). After hydrogenolysis of both N-benzyl groups of (VIII), the resulting primary amine (IX) was protected with Boc2O, and the silyl ether was then cleaved by means of tetrabutylammonium fluoride to give the hydroxypyrrolidine derivative (X). This was converted to the required thiol (XI), which was then coupled with the carbapenem phosphate (XII). Finally, hydrogenolysis of the 4-nitrobenzyl ester of (XII) provided the title compound.

参考文献No.571789
标题:A novel 1beta-methylcarbapenem, J-111,225: Effects of the C-3 and C-5 stereochemistry of the pyrrolidinylthio side chain on antibacterial activities
作者:Imamura, H.; Shimizu, A.; Sato, H.; Sugimoto, Y.; Sakuraba, S.; Nagano, R.; Yamada, K.; Hashizume, T.; Morishima, H.
来源:J Antibiot 2000,53(3),314
合成路线图解说明:

The Grignard condensation of the chiral pyrrolidinone (I) with 4-(dimethoxymethyl)phenylmagnesium bromide (II) in THF, followed by reduction with NaBH4, gives the aminoalcohol (III), which is cyclized to the pyrrolidine (IV) by means of MsCl and TEA in dichloromethane. Hydrolysis of the dimethyl acetal of (IV), followed by separation of the resulting diastereomeric mixture of aldehydes, yields the desired diastereomer (V). The reduction of (V) with NaBH4, followed by reaction with Ms-Cl in dichloromethane, affords the mesylate (VI), which by reaction with methylamine provides the secondary amine (VII). The protection of (VII) with allyl chloroformate and TEA, cleavage of the silyl-protecting group gives the hydroxy pyrrolidine (VIII), which is treated with MsCl and TEA to yield the mesylate (IX). The reaction of (IX) with potassium thioacetate in hot DMF affords the sulfanyl pyrrolidine (X), which is condensed with the penem diphenyl phosphate (XI) by means of DIEA in acetonitrile to provide the protected intermediate (XII). Finally, (XII) is converted into the target compound by reaction with PdCl2(PPh3)2 and Bu3SnH in dichloromethane/water.

参考文献No.590759
标题:Discovery of novel trans-3,5-disubstituted pyrrolidinylthio-1beta-methylcarbapenems
作者:Imamura, H.; Ohtake, N.; Shimizu, A.; Sato, H.; Sugimoto, Y.; Sakuraba, S.; Nagano, R.; Nakano, M.; Abe, S.; Suzuki-Sato, C.; Nishimura, I.; Kojima, H.; Tsuchiya, Y.; Yamada, K.; Hashizume, T.; Morishima, H.
来源:Bioorg Med Chem 2000,8(8),1969
合成路线图解说明:

The reaction of the acetonide of (R)-3,4-dihydroxybutanal (I) with the silylated 4-bromobenzyl alcohol (II) by means of n-BuLi in THF gives the corresponding carbinol (III), which is oxidized to the ethanone (IV) by means of tetrapropylammonium perruthenate (TPAP) and NMO in dichloromethane. The enantioselective reduction of the ketone (IV) by means of LiAlH4 and an excess of LiI in ethyl ether gives the (R,S)-enantiomer (V), which is mesylated with MsCl/TEA in dichloromethane and treated with NaN3 in hot DMF to yield the azide (VI). The reduction of (VI) with triphenylphosphine in THF/water affords the amine (VII), which is treated with allyl chloroformate and TEA in THF providing the carbamate (VIII). The desilylation of (VIII) with TBAF in THF gives the benzyl alcohol (IX), which is mesylated with MsCl and TEA in dichloromethane yielding the mesyl ester (X). The reaction of (X) with NaN3 in DMF affords the azide (XI), which is reduced as before to the benzylamine (XII). The reaction of (XII) with allyl chloroformate provides the bis carbamate (XIII).

合成路线图解说明:

Compound (XIII) is treated with TsOH in methanol to eliminate the acetonide group and yield the diol (XIV). The dimesylation of (XIV) with MsCl and TEA as before affords the dimesylate (XV). The cyclization of (XV) by means of t-BuOK in THF gives the pyrrolidine (XVI), which is treated with potassium thioacetate in hot DMF to yield the acetylsulfanyl derivative (XVII).The selective hydrolysis of (XVII) with NaOH in methanol affords the thiol (XVIII), which is condensed with the protected carbapenem (XIX) by means of DIEA in acetonitrile to furnish the protected target compound (XX). Finally, this compound is deprotected by a treatment with (PPh3)2PdCl2 and Bu3SnH in dichloromethane/water.

合成路线图解说明:

The protection of 4(R)-hydroxypyrrolidin-2-one (I) first with TBDMS-Cl and then with Boc2O gives the fully protected compound (II), which is condensed with the Grignard reagent of the 4-bromobenzaldehyde dimethyl acetal (III) yielding after working up the substituted benzaldehyde (IV). The reduction of (IV) with NaBH4 affords the benzyl alcohol (V), which is treated with methanesulfonyl chloride to give the corresponding mesylate (VI). The reaction of (VI) with methylamine, followed by protection with Boc2O yields the protected secondary amine (VII), which is desilylated with tetrabutylammonium fluoride to afford the pyrrolidinol (VIII). The reaction of (VIII) with MsCl gives the mesylate (IX), which is treated with potassium thioacetate to provide the acetylsulfanyl derivative (X). The hydrolysis and deprotection of (X) with HCl yields the pyrrolidinethiol (XI), which is condensed with the carbapenem phosphoric ester (XII) to afford the final 4-nitrobenzyl ester intermediate (XIII). Finally, this compound is debenzylated by hydrogenation with H2 over Pd/C.

合成路线图解说明:

(R)-4-hydroxy-2-pyrrolidinone (I) was protected as the tert-butyldimethylsilyl ether, and then converted to tert-butyl carbamate (II) by means of Boc2O. Subsequent condensation of (II) with Grignard reagent (III), followed by reduction with NaBH4, and acetal hydrolysis yielded the pyrrolidinyl benzaldehyde (IV). Horner-Emmons reaction of (IV) with phosphonate (V) produced the cinnamic acid derivative (VI), and further Michael addition of the chiral lithium amide (VII) furnished aminoester (VIII). After hydrogenolysis of both N-benzyl groups of (VIII), the resulting primary amine (IX) was protected with Boc2O, and the silyl ether was then cleaved by means of tetrabutylammonium fluoride to give the hydroxypyrrolidine derivative (X). This was converted to the required thiol (XI), which was then coupled with the carbapenem phosphate (XII). Finally, hydrogenolysis of the 4-nitrobenzyl ester of (XII) provided the title compound.

合成路线图解说明:

(R)-4-hydroxy-2-pyrrolidinone (I) was protected as the tert-butyldimethylsilyl ether, and then converted to tert-butyl carbamate (II) by means of Boc2O. Subsequent condensation of (II) with Grignard reagent (III), followed by reduction with NaBH4, and acetal hydrolysis yielded the pyrrolidinyl benzaldehyde (IV). Horner-Emmons reaction of (IV) with phosphonate (V) produced the cinnamic acid derivative (VI), and further Michael addition to (VI) of the chiral lithium amide (VII) furnished aminoester (VIII). After hydrogenolysis of both N-benzyl groups of (VIII), the resulting primary amine (IX) was protected with Boc2O, and the silyl ether was then cleaved by means of tetrabutylammonium fluoride to give the hydroxypyrrolidine derivative (X). This was converted to the required thiol (XI), which was then coupled with the carbapenem phosphate (XII). Finally, hydrogenolysis of the 4-nitrobenzyl ester of (XII) provided the title compound.

参考文献No.615978
标题:Practical synthesis of a 1beta-methylcarbapenem, J-111,225, using 4-mercapto-2-[4-(N-methylaminomethyl)phenyl]pyrrolidine as a precursor
作者:Imamura, H.; Shimizu, A.; Sato, H.; Sugimoto, Y.; Sakuraba, S.; Yamada, K.; Morishima, H.
来源:Chem Pharm Bull 2001,49(4),476
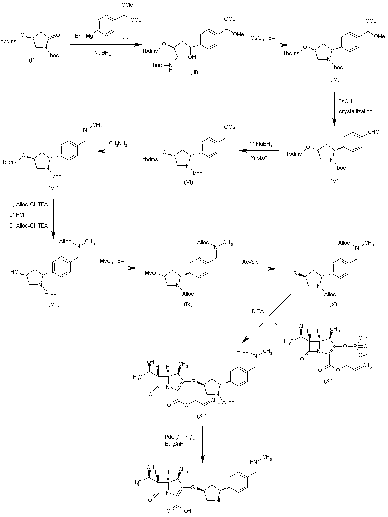
合成路线图解说明:

The protection of 4(R)-hydroxypyrrolidin-2-one (I) first with TBDMS-Cl and then with Boc2O gives the fully protected compound (II), which is condensed with the Grignard reagent of the 4-bromobenzaldehyde dimethyl acetal (III) yielding after working up the substituted benzaldehyde (IV). The reduction of (IV) with NaBH4 affords the benzyl alcohol (V), which is treated with methanesulfonyl chloride to give the corresponding mesylate (VI). The reaction of (VI) with methylamine, followed by protection with Boc2O yields the protected secondary amine (VII), which is desilylated with tetrabutylammonium fluoride to afford the pyrrolidinol (VIII). The reaction of (VIII) with MsCl gives the mesylate (IX), which is treated with potassium thioacetate to provide the acetylsulfanyl derivative (X). The hydrolysis and deprotection of (X) with HCl yields the pyrrolidinethiol (XI), which is condensed with the carbapenem phosphoric ester (XII) to afford the final 4-nitrobenzyl ester intermediate (XIII). Finally, this compound is debenzylated by hydrogenation with H2 over Pd/C.

Drug Information Express,Drug R&D,Chemical Database,Patent Search.
Copyright © 2006-2026 Drug Future. All rights reserved.Contact Us