【药物名称】KR-21012
化学结构式(Chemical Structure):
参考文献No.482165
标题:KR-21012, a new carbapenem: I. Synthesis and structure-activity relationships of beta-methyl-2-(alpha-functionalized) carbapenems
作者:Pyun, D.K.; Lee, J.S.; Kim, J.H.; Lee, C.H.
来源:38th Intersci Conf Antimicrob Agents Chemother (Sept 24 1998, San Diego) 1998,Abst F-46
合成路线图解说明:

Azetidinepropanoic acid derivative (I) was converted to the mixed anhydride with isobutyl chloroformate and then coupled with N,O-dimethylhydroxylamine to afford the N-methoxyamide (II). This was treated with 2-thiazolylmagnesium bromide (III) to give thiazolyl ketone (IV). Condensation of (IV) with allyl glyoxylate hydrate (V) produced adduct (VI). Further reaction of (VI) with SOCl2 and then with triphenylphosphine gave the corresponding phosphorane, which cyclized in boiling anisole to generate the carbapenem (VII). After N-methylation at the thiazole ring of (VII) with methyl triflate, the thiazolium salt (VIII) was reduced with NaBH4 and subsequently hydrolyzed to aldehyde (IX) in the presence of HgCl2. Addition of isopropylmagnesium bromide to (IX) at -78 C, followed by desilylation with tetra-butylammonium fluoride yielded diol (X). Then, palladium-catalyzed deprotection of the allyl ester of (X) in the presence of sodium 2-ethylhexanoate provided the sodium carboxylate salt (XI). Finally, reaction of (XI) with 1-iodoethyl isopropyl carbonate (XII) in cold DMF produced the target ester.

合成路线图解说明:

Azetidinepropanoic acid derivative (I) was converted to the mixed anhydride with isobutyl chloroformate and then coupled with N,O-dimethylhydroxylamine to afford the N-methoxyamide (II). This was treated with 2-thiazolylmagnesium bromide (III) to give thiazolyl ketone (IV). Condensation of (IV) with allyl glyoxylate hydrate (V) produced adduct (VI). Further reaction of (VI) with SOCl2 and then with triphenylphosphine gave the corresponding phosphorane, which cyclized in boiling anisole to generate the carbapenem (VII). After N-methylation at the thiazole ring of (VII) with methyl triflate, the thiazolium salt (VIII) was reduced with NaBH4 and subsequently hydrolyzed to aldehyde (IX) in the presence of HgCl2. Addition of isopropylmagnesium bromide to (IX) at -78 C, followed by desilylation with tetra-butylammonium fluoride yielded diol (X). Finally, palladium-catalyzed deprotection of the allyl ester of (X) in the presence of sodium 2-ethylhexanoate provided the title sodium carboxylate salt.

参考文献No.568770
标题:Synthesis and antibacterial activity of 2alpha-functionalized 1beta-methylcarbapenems related to KR-21012
作者:Kwak, H.J.; Pyun, D.K.; Kim, J.H.; Kim, E.J.; Jeong, H.J.; Kim, B.J.; Lee, C.H.
来源:Bioorg Med Chem Lett 2000,10(4),333
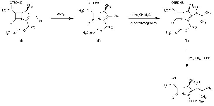
合成路线图解说明:

The oxidation of the hydroxymethyl carbapenem (I) with MnO2 in refluxing dichloromethane gives the corresponding aldehyde (II), which is treated with isopropylmagnesium chloride in THF yielding, after chromatographic separation, the 1(R)-hydroxy-2-methylpropyl derivative (III). Finally, this compound is deprotected with Pd(PPh3)4 and converted to the sodium salt with sodium 2-ethylhexanoate (SHE).

Drug Information Express,Drug R&D,Chemical Database,Patent Search.
Copyright © 2006-2026 Drug Future. All rights reserved.Contact Us