【药物名称】DC-756
化学结构式(Chemical Structure):
参考文献No.38101
标题:Cis-substd. fluoromethylpyrrolidine derivs.
作者:Takeda, T.; Kimura, K.; Ohki, H.; Takahashi, H.; Miyauchi, R.; Takemura, M. (Daiichi Pharmaceutical Co., Ltd.)
来源:EP 0995744; WO 9858923
合成路线图解说明:

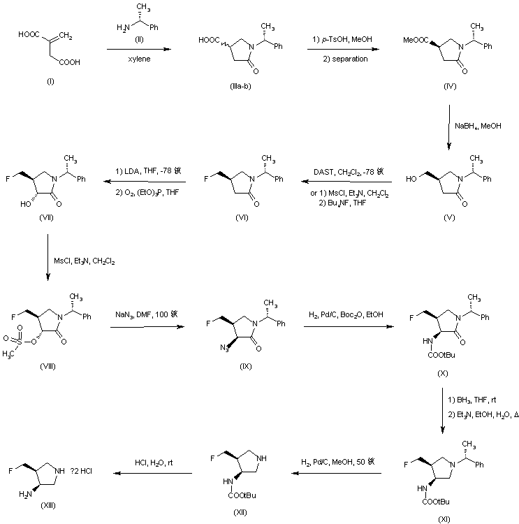
The condensation of itaconic acid (I) with (R)-1-phenylethylamine (II) produced a mixture of diastereomeric pyrrolidinones (III). The desired isomer (IV) was then isolated after conversion to the corresponding methyl ester. Introduction of the fluorine atom to give (VI) was achieved by either treatment with diethylaminosulfur trifluoride (DAST) or via conversion to the corresponding mesylate and further displacement by tetrabutylammonium fluoride. Hydroxylation of the lithium enolate of (VI) by means of O2 and (EtO)3P afforded the trans-3-hydroxy-4-(fluoromethyl)pyrrolidinone (VII). This was converted to mesylate (VIII) and subsequently displaced by NaN3 to provide the cis azide (IX). Hydrogenation of the azido group of (IX) over Pd/C in the presence of di-tert-butyl dicarbonate produced the Boc-protected amine (X). The pyrrolidinone ring was then reduced to pyrrolidine (XI) with borane in THF, and further hydrogenation over Pd/C at 50 C removed the alpha-methylbenzyl group, yielding (XII). Optionally, acid deprotection of the Boc group of (XII) provided intermediate (XIII).

合成路线图解说明:

Condensation of the protected pyrrolidine (XII) with either the BF2-chelate (XVIa) or the B(OAc)2-chelate (XIVb) of 1-cyclopropyl-6,7-difluoro-1,4-dihydro-8-methoxy-4-oxoquinoline-3-carboxylic acid provided the 7-(pyrrolidinyl)quinoline (XV). The boron chelate of (XV) was then removed upon refluxing with Et3N in aqueous EtOH to give the quinolinecarboxylic acid (XVI). Finally, treatment of (XVI) with concentrated HCl cleaved the Boc protecting group.

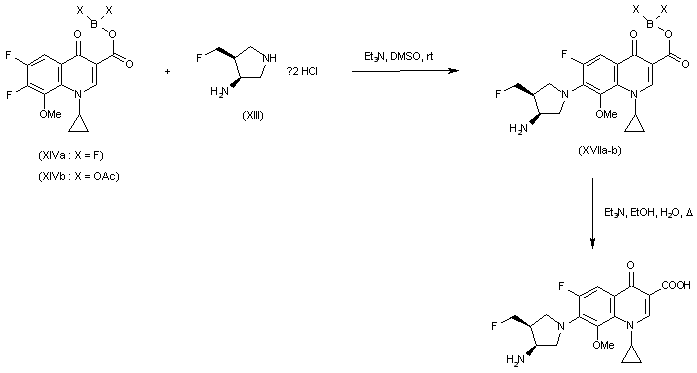
合成路线图解说明:

In a further procedure, the deprotected pyrrolidine (XIII) was condensed with the fluoroquinoline (XIV) to give (XVII). The boron chelate of (XVII) was then deprotected with Et3N in EtOH-H2O at 50 C.

参考文献No.482184
标题:DC-756: A new methoxyquinolone: Synthesis and in vitro activity of 7-(3-amino-4-substituted-pyrrolidin-1-yl) derivatives
作者:Takahaski, H.; et al.
来源:38th Intersci Conf Antimicrob Agents Chemother (Sept 24 1998, San Diego) 1998,Abst F-73
合成路线图解说明:

The condensation of itaconic acid (I) with (R)-1-phenylethylamine (II) produced a mixture of diastereomeric pyrrolidinones (III). The desired isomer (IV) was then isolated after conversion to the corresponding methyl ester. Introduction of the fluorine atom to give (VI) was achieved by either treatment with diethylaminosulfur trifluoride (DAST) or via conversion to the corresponding mesylate and further displacement by tetrabutylammonium fluoride. Hydroxylation of the lithium enolate of (VI) by means of O2 and (EtO)3P afforded the trans-3-hydroxy-4-(fluoromethyl)pyrrolidinone (VII). This was converted to mesylate (VIII) and subsequently displaced by NaN3 to provide the cis azide (IX). Hydrogenation of the azido group of (IX) over Pd/C in the presence of di-tert-butyl dicarbonate produced the Boc-protected amine (X). The pyrrolidinone ring was then reduced to pyrrolidine (XI) with borane in THF, and further hydrogenation over Pd/C at 50 C removed the alpha-methylbenzyl group, yielding (XII). Optionally, acid deprotection of the Boc group of (XII) provided intermediate (XIII).

合成路线图解说明:

Condensation of the protected pyrrolidine (XII) with either the BF2-chelate (XVIa) or the B(OAc)2-chelate (XIVb) of 1-cyclopropyl-6,7-difluoro-1,4-dihydro-8-methoxy-4-oxoquinoline-3-carboxylic acid provided the 7-(pyrrolidinyl)quinoline (XV). The boron chelate of (XV) was then removed upon refluxing with Et3N in aqueous EtOH to give the quinolinecarboxylic acid (XVI). Finally, treatment of (XVI) with concentrated HCl cleaved the Boc protecting group.

Drug Information Express,Drug R&D,Chemical Database,Patent Search.
Copyright © 2006-2026 Drug Future. All rights reserved.Contact Us