【药物名称】ONO-8713
化学结构式(Chemical Structure):
参考文献No.36975
标题:Sulfonamide and carboxamide derivs. and drugs containing the same as the active ingredient
作者:Nagao, Y.; Ohuchida, S. (Ono Pharmaceutical Co., Ltd.)
来源:EP 0947500; WO 9827053
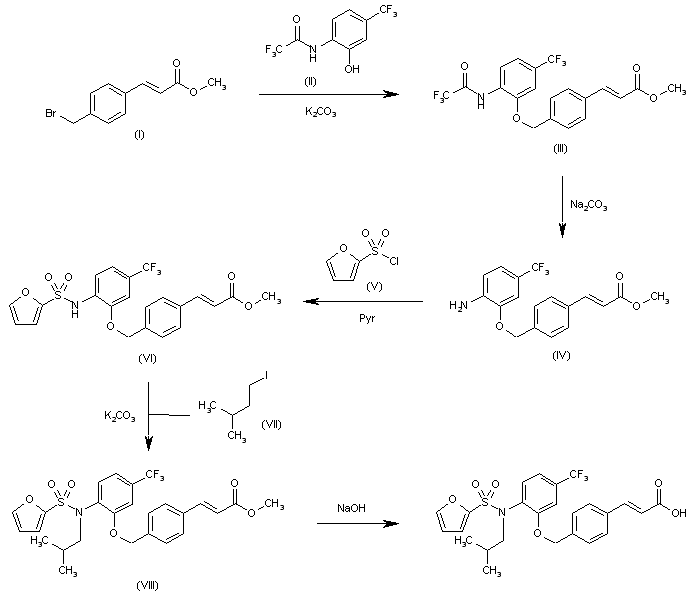
合成路线图解说明:

The condensation of 4-(bromomethyl)cinnamic acid methyl ester (I) with N-[2-hydroxy-4-(trifluoromethyl)phenyl]trifluoroacetamide (II) by means of K2CO3 in DMF gives the aryl benzyl ether (III), which is treated with Na2CO3 in THF/methanol to yield the free aromatic amine (IV). The reaction of (IV) with furan-2-sulfonyl chloride (V) and pyridine in dichloromethane affords the sulfonamide (VI), which is alkylated at the amide nitrogen with isobutyl iodide (VII) and K2CO3 in DMF to provide the tertiary sulfonamide (VIII). Finally, the ester group of (VIII) is hydrolyzed with NaOH in THF/methanol to furnish the target cinnamic acid.

Drug Information Express,Drug R&D,Chemical Database,Patent Search.
Copyright © 2006-2026 Drug Future. All rights reserved.Contact Us