【药物名称】Icofungipen, PLD-118, BAY-10-8888
化学结构式(Chemical Structure):
参考文献No.22337
标题:Cyclopentane- and pentene-beta-amino-acids
作者:Mittendorf, J.; Kunisch, F.; Matzke, M.; Militzer, H.-C.; Endermann, R.; Metzger, K.G.; Bremm, K.-D.; Plempel, M. (Bayer AG)
来源:DE 4217776; EP 0571870; JP 1994056751
合成路线图解说明:

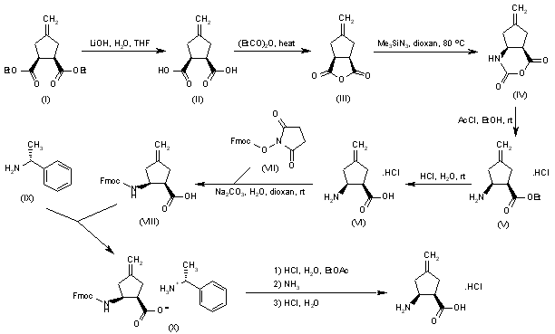
Basic hydrolysis of cis-4-methylenecyclopentane-1,2-dicarboxylic acid diethyl ester (I) with LiOH gives the free acid (II), which by refluxing with propionic anhydride yields the cyclic anhydride (III). Rearrangement using trimethylsilyl azide in dioxane at 80 C produces the oxazinedione (IV), which is hydrolyzed to (?-cis-2-amino-4-methylenecyclopentane-1-carboxylic acid ethyl ester (V) by means of acetyl chloride in EtOH. Further hydrolysis of ester (V) with aqueous HCl provides the racemic amino acid (VI), which is coupled with N-(9-fluorenylmethoxycarbonyl)succinimide (VII) to afford the Fmoc-amino acid (VIII). Racemic (VIII) is resolved by treatment with (+)-(R)-1-phenylethylamine (IX) and crystallization of the resulting salt (X) in EtOH/methyl tert-butyl ether. Finally, acidification of salt (X) and extraction of the (1R,2S)-free acid, followed by removal of the Fmoc group with liquid ammonia, provides PLD-118 isolated as its hydrochloride salt.

参考文献No.38126
标题:Efficient and highly enantioselective process for the preparation of enantiomerically pure cyclopentane-beta-amino acids
作者:Mittendorf, J. (Bayer AG)
来源:EP 0805145
合成路线图解说明:

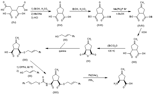
Cyclization of the tetracarboxylic acid (XV) gives 4-oxocyclopentane-1,2-dicarboxylic acid (XVI), which is esterified with ethanol and sulfuric acid to yield the diester (XVII). Reaction of diester (XVII) with methyl-(triphenyl)phosphonium bromide and t-BuOK in THF affords 4-methylenecyclopentane-1,2-dicarboxylic acid diethyl ester (XVIII), which is hydrolyzed with KOH in THF/water to provide the corresponding free acid (XIX). The anhydrization of (XIX) by means of propionic anhydride at 135 C gives anhydride (III), which is submitted to an enantioselective quinine-mediated alcoholysis with 3-phenyl-2-propen-1-ol (XX) to yield (1R,2S)-2-amino-4-methylenecyclopentane-1-carboxylic acid 3-phenyl-2-propenyl monoester (XXI). Degradation of the free carboxylic acid group of (XXI) by means of DPPA, TEA and alcohol (XX) in hot toluene affords carbamate (XXII), which is finally fully deprotected with Pd(OAc)2 and PPh3 in ethanol.

参考文献No.58850
标题:High enantio-selective process for producing pure enantiomeric cyclopentane and cyclopentene-(beta)-amino acids
作者:Fey, P.; Mohrs, K.-H.; Matzke, M.; Mittendorf, J.; Militzer, H.-C.; Arold, H. (Bayer AG)
来源:DE 4400749; US 5962724; WO 9519337
合成路线图解说明:

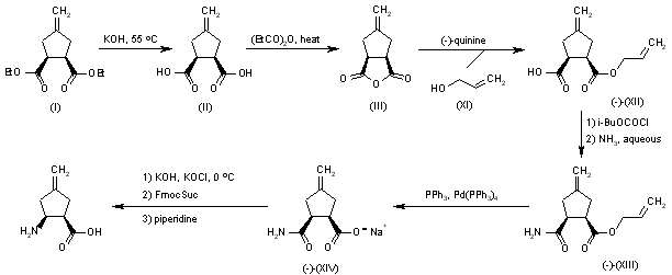
Hydrolysis of diester (I) with KOH in water/EtOH at 55 C gives the dicarboxylic acid (II), which is subjected to cyclization by refluxing with propionic anhydride to provide anhydride (III). Cyclic anhydride (III) is opened with allyl alcohol (XI) in diethyl ether in the presence of (?-quinine as asymmetric inducer to yield (?-1,2-cis-4-methylenecyclopentane-1,2-dicarboxylic acid monoallyl ester (?-(XII), which is then converted into the amide derivative (?-(XIII) by activation of the carboxylic acid group with isobutyl chloroformate in ethyl acetate in the presence of N-ethylmorpholine at ? C, followed by reaction with aqueous ammonia. Removal of the allyl group of (?-(XIII) with triphenylphosphine, tetrakis(triphenylphosphine)palladium and 2-ethylhexanoic acid sodium salt in ethyl acetate affords (?-1,2-cis-2-(aminocarbonyl)-4-methylenecyclopentane-1-carboxylic acid sodium salt (?-(XIV). Compound (?-(XIV) is subjected to a Hofmann rearrangement with KOH and KOCl in water to provide a crude aqueous solution containing PLD-118, which is finally purified by protection of the free amine group with N-(9-fluorenylmethoxycarbonyloxy)succinimide by means of Na2CO3 in dioxane followed by Fmoc removal with piperidine in diethyl ether.

参考文献No.695144
标题:Discovery, synthesis and SAR of beta-amino acid BAY 10-888/PLD-118, a novel antifungal for treatment of yeast infections
作者:Schoenfeld, W.
来源:42nd Intersci Conf Antimicrob Agents Chemother (Sept 27 2002, San Diego) 2002,Abst F-811
合成路线图解说明:

Cyclization of the tetracarboxylic acid (XV) gives 4-oxocyclopentane-1,2-dicarboxylic acid (XVI), which is esterified with ethanol and sulfuric acid to yield the diester (XVII). Reaction of diester (XVII) with methyl-(triphenyl)phosphonium bromide and t-BuOK in THF affords 4-methylenecyclopentane-1,2-dicarboxylic acid diethyl ester (XVIII), which is hydrolyzed with KOH in THF/water to provide the corresponding free acid (XIX). The anhydrization of (XIX) by means of propionic anhydride at 135 C gives anhydride (III), which is submitted to an enantioselective quinine-mediated alcoholysis with 3-phenyl-2-propen-1-ol (XX) to yield (1R,2S)-2-amino-4-methylenecyclopentane-1-carboxylic acid 3-phenyl-2-propenyl monoester (XXI). Degradation of the free carboxylic acid group of (XXI) by means of DPPA, TEA and alcohol (XX) in hot toluene affords carbamate (XXII), which is finally fully deprotected with Pd(OAc)2 and PPh3 in ethanol.

参考文献No.707984
标题:PLD-118
作者:Sorbera, L.A.; Casta馿r, J.; Bozzo, J.
来源:Drugs Fut 2002,27(11),1049
合成路线图解说明:

Basic hydrolysis of cis-4-methylenecyclopentane-1,2-dicarboxylic acid diethyl ester (I) with LiOH gives the free acid (II), which by refluxing with propionic anhydride yields the cyclic anhydride (III). Rearrangement using trimethylsilyl azide in dioxane at 80 C produces the oxazinedione (IV), which is hydrolyzed to (?-cis-2-amino-4-methylenecyclopentane-1-carboxylic acid ethyl ester (V) by means of acetyl chloride in EtOH. Further hydrolysis of ester (V) with aqueous HCl provides the racemic amino acid (VI), which is coupled with N-(9-fluorenylmethoxycarbonyl)succinimide (VII) to afford the Fmoc-amino acid (VIII). Racemic (VIII) is resolved by treatment with (+)-(R)-1-phenylethylamine (IX) and crystallization of the resulting salt (X) in EtOH/methyl tert-butyl ether. Finally, acidification of salt (X) and extraction of the (1R,2S)-free acid, followed by removal of the Fmoc group with liquid ammonia, provides PLD-118 isolated as its hydrochloride salt.

合成路线图解说明:

Hydrolysis of diester (I) with KOH in water/EtOH at 55 C gives the dicarboxylic acid (II), which is subjected to cyclization by refluxing with propionic anhydride to provide anhydride (III). Cyclic anhydride (III) is opened with allyl alcohol (XI) in diethyl ether in the presence of (?-quinine as asymmetric inducer to yield (?-1,2-cis-4-methylenecyclopentane-1,2-dicarboxylic acid monoallyl ester (?-(XII), which is then converted into the amide derivative (?-(XIII) by activation of the carboxylic acid group with isobutyl chloroformate in ethyl acetate in the presence of N-ethylmorpholine at ? C, followed by reaction with aqueous ammonia. Removal of the allyl group of (?-(XIII) with triphenylphosphine, tetrakis(triphenylphosphine)palladium and 2-ethylhexanoic acid sodium salt in ethyl acetate affords (?-1,2-cis-2-(aminocarbonyl)-4-methylenecyclopentane-1-carboxylic acid sodium salt (?-(XIV). Compound (?-(XIV) is subjected to a Hofmann rearrangement with KOH and KOCl in water to provide a crude aqueous solution containing PLD-118, which is finally purified by protection of the free amine group with N-(9-fluorenylmethoxycarbonyloxy)succinimide by means of Na2CO3 in dioxane followed by Fmoc removal with piperidine in diethyl ether.

合成路线图解说明:

Cyclization of the tetracarboxylic acid (XV) gives 4-oxocyclopentane-1,2-dicarboxylic acid (XVI), which is esterified with ethanol and sulfuric acid to yield the diester (XVII). Reaction of diester (XVII) with methyl-(triphenyl)phosphonium bromide and t-BuOK in THF affords 4-methylenecyclopentane-1,2-dicarboxylic acid diethyl ester (XVIII), which is hydrolyzed with KOH in THF/water to provide the corresponding free acid (XIX). The anhydrization of (XIX) by means of propionic anhydride at 135 C gives anhydride (III), which is submitted to an enantioselective quinine-mediated alcoholysis with 3-phenyl-2-propen-1-ol (XX) to yield (1R,2S)-2-amino-4-methylenecyclopentane-1-carboxylic acid 3-phenyl-2-propenyl monoester (XXI). Degradation of the free carboxylic acid group of (XXI) by means of DPPA, TEA and alcohol (XX) in hot toluene affords carbamate (XXII), which is finally fully deprotected with Pd(OAc)2 and PPh3 in ethanol.

参考文献No.716349
标题:Novel antifungal beta-amino acids: Synthesis and activity against Candida albicans
作者:Mittendorf, J.; Kunisch, F.; Matzke, M.; Militzer, H.-C.; Schmidt, A.; Sch鰊feld, W.
来源:Bioorg Med Chem Lett 2003,13(3),433
合成路线图解说明:

Cyclization of the tetracarboxylic acid (XV) gives 4-oxocyclopentane-1,2-dicarboxylic acid (XVI), which is esterified with ethanol and sulfuric acid to yield the diester (XVII). Reaction of diester (XVII) with methyl-(triphenyl)phosphonium bromide and t-BuOK in THF affords 4-methylenecyclopentane-1,2-dicarboxylic acid diethyl ester (XVIII), which is hydrolyzed with KOH in THF/water to provide the corresponding free acid (XIX). The anhydrization of (XIX) by means of propionic anhydride at 135 C gives anhydride (III), which is submitted to an enantioselective quinine-mediated alcoholysis with 3-phenyl-2-propen-1-ol (XX) to yield (1R,2S)-2-amino-4-methylenecyclopentane-1-carboxylic acid 3-phenyl-2-propenyl monoester (XXI). Degradation of the free carboxylic acid group of (XXI) by means of DPPA, TEA and alcohol (XX) in hot toluene affords carbamate (XXII), which is finally fully deprotected with Pd(OAc)2 and PPh3 in ethanol.

Drug Information Express,Drug R&D,Chemical Database,Patent Search.
Copyright © 2006-2026 Drug Future. All rights reserved.Contact Us