【药物名称】A-170568(free base), A-170568.1
化学结构式(Chemical Structure):
参考文献No.41007
标题:Pyridone antibiotic with improved safety profile
作者:Or, Y.S.; Armiger, Y.-L.; Fung, A. (Abbott Laboratories Inc.)
来源:US 5977133; WO 0010998
合成路线图解说明:

The reaction of 3-chlorotetrafluoropyridine (I) with sodium tert-butoxide in THF gives 4-(tert-butoxy)-3-chloro-2,5,6-trifluoropyridine (II), which is dechlorinated with H2 over Pearlman's catalyst in methanol yielding 4-(tert-butoxy)-2,3,6-trifluoropyridine (III). The methylation of (III) with methyl iodide and lithium diethylamide (LDA) in THF affords 4-(tert-butoxy)-2,3,6-trifluoro-5-methylpyridine (IV), which is treated with hydrazine in refluxing propanol to give 4-(tert-butoxy)-2,5-difluoro-3-methylpyridine (V). The condensation of (V) with 2-bromo-2-cyclopropylacetopnitrile (VI) by means of LDA in THF yields the expected condensation product (VII), which is treated with TFA to eliminate the tert-butyl protecting group and with POCl3 in DMF to afford the 4-chloropyridyl derivative (VIII). The hydrolysis of the nitrile group of (VIII) with HCl in ethanol gives the corresponding acetate ester (IX), which is reduced with LiAlH4 in THF to the alcohol (X). The oxidation of (X) with oxalyl chloride in DMSO/dichloromethane yields the aldehyde (XI), which is cyclized with diethyl malonate (XII) by means of piperidine in refluxing acetic acid, followed by heating at 220 C C in Dowtherm to afford 8-chloro-1-cyclopropyl-7-fluoro-9-methyl-4-oxo-4H-quinolizine-3-carboxylic acid ethyl ester (XIII). The condensation of (XIII) with 7(S)-(tert-butoxycarbonylamino)-5-azaspiro[2.4]heptane (XIV) by means of triethylamine in DMF gives the expected condensation product (XV), which is methylated with methyl iodide and sodium hexamethyldisylazane (Na-HMDS) in THF yielding the N-methyl derivative (XVI). The hydrolysis of the ester group of (XVI) with LiOH in THF/water provides the corresponding free acid (XVII), which is finally deprotected with HCl in acetic acid. The synthesis of the intermediate 7(S)-(tert-butoxycarbonylamino)-5-azaspiro[2.4]heptane (XIV) has already been described in the first synthesis of compound no. 268134 (see scheme 26813401a).

参考文献No.482226
标题:The discovery of A-165753 and A-170568, two potent broad-spectrum antimicrobial agents
作者:Armiger, Y.L.; Chu, D.T.W.; Fung, A.K.L.; et al.
来源:38th Intersci Conf Antimicrob Agents Chemother (Sept 24 1998, San Diego) 1998,Abst F-86
合成路线图解说明:

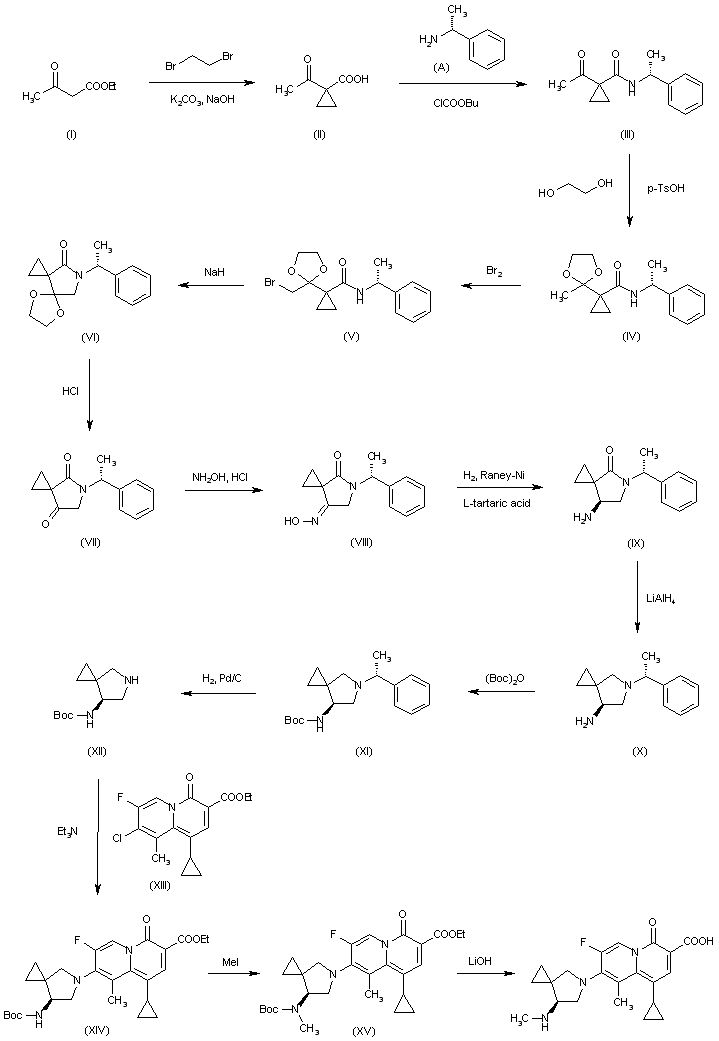
The cyclopropanation of ethyl acetoacetate (I) with 1,2-dibromoethane and K2CO3 in DMF, followed by hydrolysis with NaOH gives 1-acetylcyclopropane-1-carboxylic acid (II), which is condensed with 1(R)-phenylethylamine (A) by means of butyl chloroformate in dichloromethane yielding the chiral amide (III). The protection of the acetyl group with ethylene glycol and p-toluenesulfonic acid affords the cyclic acetal (IV), which is brominated with Br2 in dioxane to give the bromomethyl compound (V). The cyclization of (V) by means of NaH in THF affords the spirocyclopropane derivative (VI), which is deprotected with HCl providing the spiro pyrrolidinedione (VII). The reaction of (VII) with hydroxylamine affords the oxime (VIII), which is reduced with H2 over RaNi in methanol and crystallized with l-tartaric acid to give the desired chiral 7(R)-amino-5-(1(R)-phenylethyl)-5-azaspiro[2.4]heptan-4-one (IX). The reduction of the ketonic group of (IX) with LiAlH4 yields the chiral amine (X), which is protected with tert-butoxycarbonyl anhydride to the carbamate (XI). The hydrogenation of (XI) with H 2 over Pd/C affords the spiropyrrolidine (XII) with its NH group free, which is condensed with the quinolizine (XIII) by means of triethylamine in DMF providing intermediate (XIV). Finally, this compound is deprotected and hydrolyzed to the target compound with LiOH in ethanol.

合成路线图解说明:

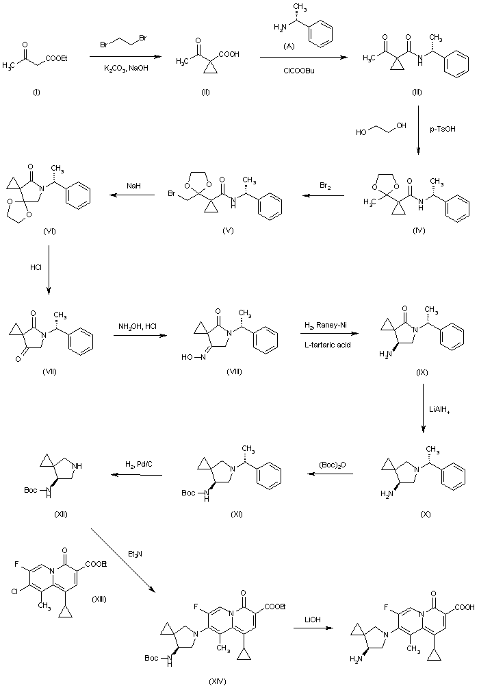
The cyclopropanation of ethyl acetoacetate (I) with 1,2-dibromoethane and K2CO3 in DMF, followed by hydrolysis with NaOH gives 1-acetylcyclopropane-1-carboxylic acid (II), which is condensed with 1(R)-phenylethylamine (A) by means of butyl chloroformate in dichloromethane yielding the chiral amide (III). The protection of the acetyl group with ethylene glycol and p-toluenesulfonic acid affords the cyclic acetal (IV), which is brominated with Br2 in dioxane to give the bromomethyl compound (V). The cyclization of (V) by means of NaH in THF affords the spirocyclopropane derivative (VI), which is deprotected with HCl providing the spiro pyrrolidinedione (VII). The reaction of (VII) with hydroxylamine affords the oxime (VIII), which is reduced with H2 over RaNi in methanol and crystallized with l-tartaric acid to give the desired chiral 7(R)-amino-5-(1(R)-phenylethyl)-5-azaspiro[2.4]heptan-4-one (IX). The reduction of the ketonic group of (IX) with LiAlH4 yields the chiral amine (X), which is protected with tert-butoxycarbonyl anhydride to the carbamate (XI). The hydrogenation of (XI) with H 2 over Pd/C affords the spiropyrrolidine (XII) with its NH group free, which is condensed with the quinolizine (XIII) by means of triethylamine in DMF providing intermediate (XIV). This compound is methylated by means of methyl iodide and sodium bis(trimethylsilyl)amide yielding the methylamino derivative (XV), which is finally deprotected and hydrolyzed to the target compound with LiOH in ethanol.

Drug Information Express,Drug R&D,Chemical Database,Patent Search.
Copyright © 2006-2026 Drug Future. All rights reserved.Contact Us