【药物名称】PNU-107922
化学结构式(Chemical Structure):
参考文献No.30725
标题:Hetero-aromatic ring substd. phenyloxazolidinone antimicrobials
作者:Hutchinson, D.K. (Pharmacia & Upjohn AB)
来源:EP 0807112; JP 1998513446; US 5910504; WO 9623788
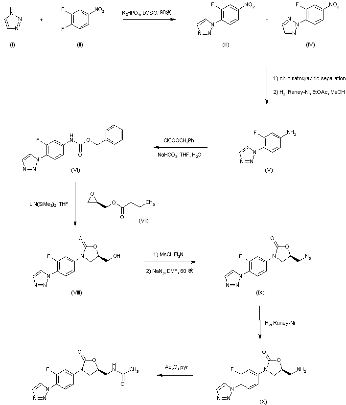
合成路线图解说明:

The reaction between 1,2,3-triazole (I) and 3,4-difluoronitrobenzene (II) afforded a mixture of two regioisomeric substituted triazoles (III) and (IV), from which the required 1-substituted isomer (III) was isolated by column chromatography. Reduction of the nitro group of (III) by hydrogenation over Raney-Ni gave aniline (V), which was converted to carbamate (VI) upon treatment with benzyl chloroformate. Subsequent condensation of (VI) with (R)-(-)-glycidyl butyrate (VII) in the presence of lithium bis(trimethylsilyl)amide produced the chiral oxazolidinone (VIII). Mesylation of the alcohol group of (VIII), followed by displacement with NaN3 yielded azide (IX). This was reduced by hydrogenation over Raney-Ni to give amine (X), which was finally acetylated using Ac2O and pyridine.

合成路线图解说明:

The reaction between pyrrole (I) and 3,4-difluoronitrobenzene (II) afforded the N-aryl pyrrole (III). Selective reduction of the nitro group of (III) by hydrogenation over sulfided platinum on carbon gave aniline (IV), which was converted to carbamate (V) upon treatment with benzyl chloroformate. Subsequent condensation of (V) with (R)-(-)-glycidyl butyrate (VI) in the presence of lithium bis(trimethylsilyl)amide produced the chiral oxazolidinone (VII). Mesylation of the alcohol group of (VII), followed by displacement with NaN3 yielded azide (VIII). This was reduced by hydrogenation over Pt/C/S to give amine (IX), which was finally acetylated using Ac2O and pyridine.

参考文献No.482156
标题:Synthesis and antibacterial activity of azolylphenyloxazolidinones having nitrogen-bound five-membered heterocyclic rings
作者:Emmert, D.E.; Reischer, R.J.; Ford, C.W.; Garmon, S.A.; Zurenko, G.E.; Barbachyn, M.R.; Hutchinson, D.K.; Stelzer, L.S.; Hester, J.B.
来源:38th Intersci Conf Antimicrob Agents Chemother (Sept 24 1998, San Diego) 1998,Abst F-137
合成路线图解说明:

The reaction between 1,2,3-triazole (I) and 3,4-difluoronitrobenzene (II) afforded a mixture of two regioisomeric substituted triazoles (III) and (IV), from which the required 1-substituted isomer (III) was isolated by column chromatography. Reduction of the nitro group of (III) by hydrogenation over Raney-Ni gave aniline (V), which was converted to carbamate (VI) upon treatment with benzyl chloroformate. Subsequent condensation of (VI) with (R)-(-)-glycidyl butyrate (VII) in the presence of lithium bis(trimethylsilyl)amide produced the chiral oxazolidinone (VIII). Mesylation of the alcohol group of (VIII), followed by displacement with NaN3 yielded azide (IX). This was reduced by hydrogenation over Raney-Ni to give amine (X), which was finally acetylated using Ac2O and pyridine.

合成路线图解说明:

The reaction between pyrrole (I) and 3,4-difluoronitrobenzene (II) afforded the N-aryl pyrrole (III). Selective reduction of the nitro group of (III) by hydrogenation over sulfided platinum on carbon gave aniline (IV), which was converted to carbamate (V) upon treatment with benzyl chloroformate. Subsequent condensation of (V) with (R)-(-)-glycidyl butyrate (VI) in the presence of lithium bis(trimethylsilyl)amide produced the chiral oxazolidinone (VII). Mesylation of the alcohol group of (VII), followed by displacement with NaN3 yielded azide (VIII). This was reduced by hydrogenation over Pt/C/S to give amine (IX), which was finally acetylated using Ac2O and pyridine.

Drug Information Express,Drug R&D,Chemical Database,Patent Search.
Copyright © 2006-2026 Drug Future. All rights reserved.Contact Us