【药物名称】PNU-172576
化学结构式(Chemical Structure):
参考文献No.482117
标题:Substituent effects on the antibacterial activity of novel highly potent nitrogen-bound azolylphenyl oxazolidinones
作者:Genin, M.J.; et al.
来源:38th Intersci Conf Antimicrob Agents Chemother (Sept 24 1998, San Diego) 1998,Abst F-138
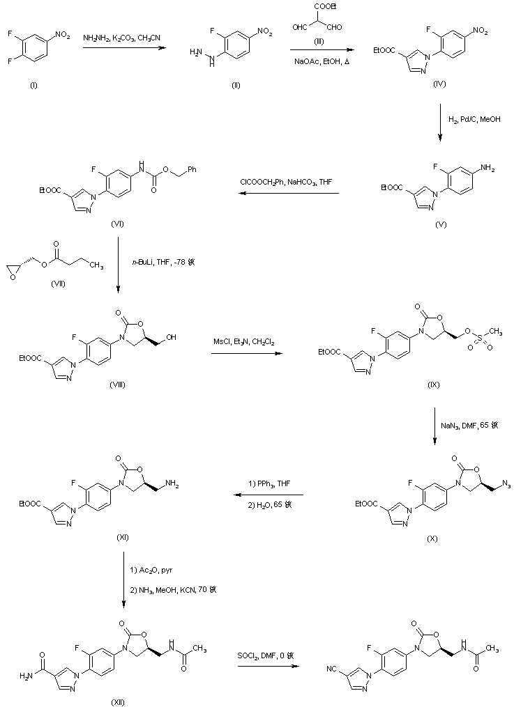
合成路线图解说明:

Treatment of 3,4-difluoronitrobenzene (I) with hydrazine hydrate yielded the aryl hydrazine (II), which was condensed with dialdehyde (III) to give pyrazole (IV). After reduction of the nitro group of (IV) by catalytic hydrogenation, the resulting amine (V) was protected with benzyl chloroformate to afford carbamate (VI). Subsequent treatment of (VI) with (R)-glycidyl butyrate (VII) and n-butyllithium produced the chiral oxazolidinone (VIII). The alcohol group of (VIII) was converted to mesylate (IX) and then displaced with NaN3 to give azide (X), which was reduced to amine (XI) using PPh3. Acetylation of the primary amine of (XI) with Ac2O, followed by ammonolysis of the ethyl ester furnished diamide (XII). Finally, dehydration of the primary amide of (XII) with SOCl2 provided the target nitrile.

合成路线图解说明:

Treatment of 3,4-difluoronitrobenzene (I) with benzylamine yielded nitroaniline (II), which was reduced to diamine (III) by hydrogenation over Pt/C. Protection of (III) with benzyl chloroformate produced the bis(carbamate) (IV). Conversion of (IV) to the chiral oxazolidinone (VI) was accomplished by treatment with (R)-glycidyl butyrate (V) and n-butyllithium. The alcohol group of (VI) was converted to mesylate (VII) and then displaced with potassium phthalimide to give (VIII). Further hydrazinolysis of (VIII), followed by acetylation of the resulting amine gave acetamide (IX). Hydrogenation of (IX) in the presence of Pd/C removed both N-benzyl and carbamate groups to give the primary amine (X). Condensation of (X) with 2,5-dimethoxytetrahydrofuran-3-carbaldehyde (XI) in refluxing AcOH furnished the required 3-formylpyrrole (XII). The resulting aldehyde (XII) was then condensed with hydroxylamine and the intermediate oxime was finally converted to the target nitrile employing PPh3 as the dehydrating agent.

参考文献No.483113
标题:Nitrogen-carbon-linked (azolylphenyl)oxazolidinones with potent antibacterial activity against the fastidious Gram-negative organisms Haemophilus influenzae and Moraxella catarrhalis
作者:Genin, M.J.; Hutchinson, D.K.; Allwine, D.A.; Hester, J.B.; Emmert, D.E.; Garmon, S.A.; Ford, C.W.; Zurenko, G.E.; Hamel, J.C.; Schaadt, R.D.; Stapert, D.; Yagi, B.H.; Friis, J.M.; Shobe, E.M.; Adams, W.J.
来源:J Med Chem 1998,41(26),5144
合成路线图解说明:

Treatment of 3,4-difluoronitrobenzene (I) with hydrazine hydrate yielded the aryl hydrazine (II), which was condensed with dialdehyde (III) to give pyrazole (IV). After reduction of the nitro group of (IV) by catalytic hydrogenation, the resulting amine (V) was protected with benzyl chloroformate to afford carbamate (VI). Subsequent treatment of (VI) with (R)-glycidyl butyrate (VII) and n-butyllithium produced the chiral oxazolidinone (VIII). The alcohol group of (VIII) was converted to mesylate (IX) and then displaced with NaN3 to give azide (X), which was reduced to amine (XI) using PPh3. Acetylation of the primary amine of (XI) with Ac2O, followed by ammonolysis of the ethyl ester furnished diamide (XII). Finally, dehydration of the primary amide of (XII) with SOCl2 provided the target nitrile.

合成路线图解说明:

Treatment of 3,4-difluoronitrobenzene (I) with benzylamine yielded nitroaniline (II), which was reduced to diamine (III) by hydrogenation over Pt/C. Protection of (III) with benzyl chloroformate produced the bis(carbamate) (IV). Conversion of (IV) to the chiral oxazolidinone (VI) was accomplished by treatment with (R)-glycidyl butyrate (V) and n-butyllithium. The alcohol group of (VI) was converted to mesylate (VII) and then displaced with potassium phthalimide to give (VIII). Further hydrazinolysis of (VIII), followed by acetylation of the resulting amine gave acetamide (IX). Hydrogenation of (IX) in the presence of Pd/C removed both N-benzyl and carbamate groups to give the primary amine (X). Condensation of (X) with 2,5-dimethoxytetrahydrofuran-3-carbaldehyde (XI) in refluxing AcOH furnished the required 3-formylpyrrole (XII). The resulting aldehyde (XII) was then condensed with hydroxylamine and the intermediate oxime was finally converted to the target nitrile employing PPh3 as the dehydrating agent.

参考文献No.569173
标题:Substituted effects of the antibacterial activity of nitrogen-carbon-linked (azolylphenyl)oxazolidinones with expanded activity against the fastidious Gram-negative organisms Haemophilus influenzae and Moraxella catarrhalis
作者:Genin, M.J.; Allwine, D.A.; Anderson, D.J.; Barbachyn, M.R.; Emmert, D.E.; Garmon, S.A.; Graber, D.R.; Grega, K.C.; Hester, J.B.; Hutchinson, D.K.; Morris, J.; Reischer, R.J.; Ford, C.W.; Zurenko, G.E.; Hamel, J.C.; Schaadt, R.D.; Stapert, D.; Yagi, B.H.
来源:J Med Chem 2000,43(5),953
合成路线图解说明:

Treatment of 3,4-difluoronitrobenzene (I) with hydrazine hydrate yielded the aryl hydrazine (II), which was condensed with dialdehyde (III) to give pyrazole (IV). After reduction of the nitro group of (IV) by catalytic hydrogenation, the resulting amine (V) was protected with benzyl chloroformate to afford carbamate (VI). Subsequent treatment of (VI) with (R)-glycidyl butyrate (VII) and n-butyllithium produced the chiral oxazolidinone (VIII). The alcohol group of (VIII) was converted to mesylate (IX) and then displaced with NaN3 to give azide (X), which was reduced to amine (XI) using PPh3. Acetylation of the primary amine of (XI) with Ac2O, followed by ammonolysis of the ethyl ester furnished diamide (XII). Finally, dehydration of the primary amide of (XII) with SOCl2 provided the target nitrile.

合成路线图解说明:

Treatment of 3,4-difluoronitrobenzene (I) with benzylamine yielded nitroaniline (II), which was reduced to diamine (III) by hydrogenation over Pt/C. Protection of (III) with benzyl chloroformate produced the bis(carbamate) (IV). Conversion of (IV) to the chiral oxazolidinone (VI) was accomplished by treatment with (R)-glycidyl butyrate (V) and n-butyllithium. The alcohol group of (VI) was converted to mesylate (VII) and then displaced with potassium phthalimide to give (VIII). Further hydrazinolysis of (VIII), followed by acetylation of the resulting amine gave acetamide (IX). Hydrogenation of (IX) in the presence of Pd/C removed both N-benzyl and carbamate groups to give the primary amine (X). Condensation of (X) with 2,5-dimethoxytetrahydrofuran-3-carbaldehyde (XI) in refluxing AcOH furnished the required 3-formylpyrrole (XII). The resulting aldehyde (XII) was then condensed with hydroxylamine and the intermediate oxime was finally converted to the target nitrile employing PPh3 as the dehydrating agent.

Drug Information Express,Drug R&D,Chemical Database,Patent Search.
Copyright © 2006-2026 Drug Future. All rights reserved.Contact Us