【药物名称】BAL-9141, Ro-63-9141/000, Ro-63-9141
化学结构式(Chemical Structure):
参考文献No.37245
标题:Vinyl pyrrolidine cephalosporins with basic substitutents
作者:Page, M.; Hebeisen, P.; Angehrn, P.; Heinze-Krauss, I.; Runtz, V. (F. Hoffmann-La Roche AG)
来源:EP 0849269; US 5981519
合成路线图解说明:

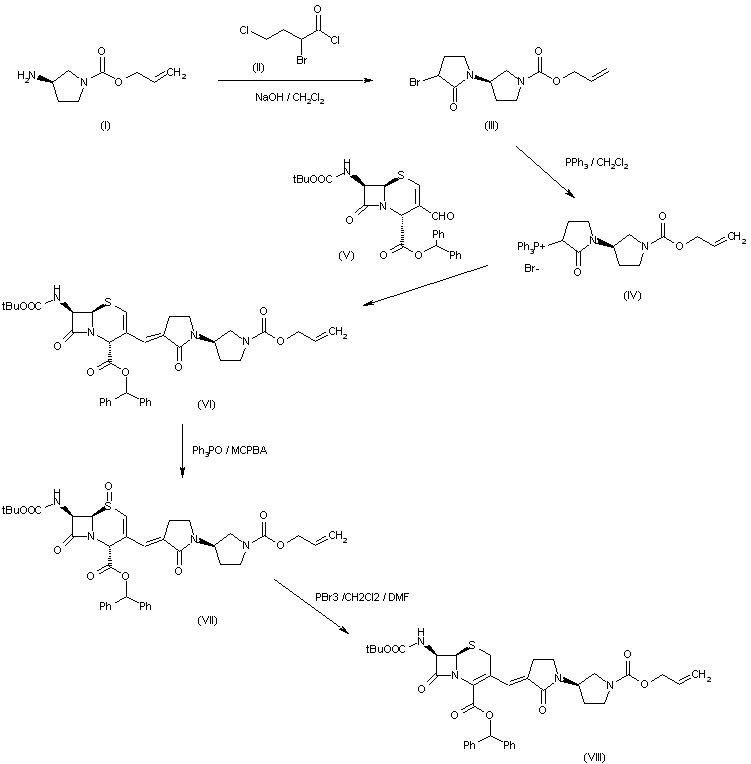
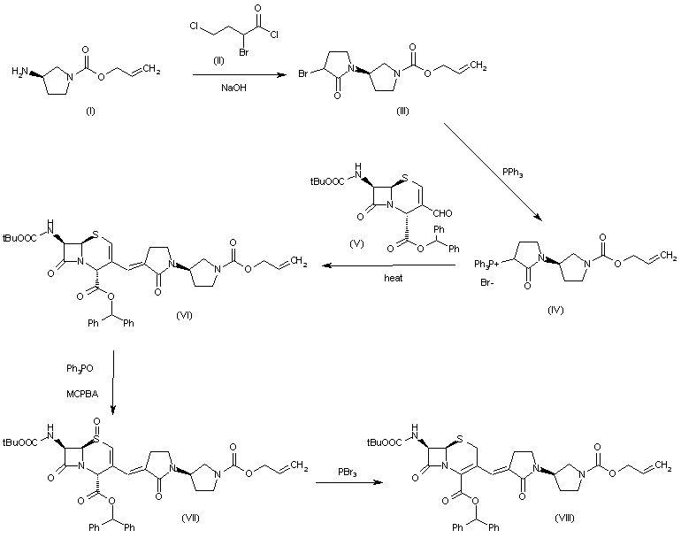
The cyclization of 3(R)-aminopyrrolidine-1-carboxylic acid allyl ester (I) with 2-bromo-4-chlorobutyryl chloride (II) by means of aqueous NaOH in dichloromethane gives the bipyrrolidine (III), which is treated with triphenylphosphine in dichloromethane yielding the phosphonium salt (IV). The condensation of (IV) with (R,R,R)-7-(tert-butoxycarbonylamino)-3-formyl-2-cephem-4-carboxylic acid diphenylmethyl ester (V) in refluxing THF affords the expected condensation product (VI), which is oxidized at the sulfur atom with triphenylphosphine oxide and meta-chloroperbenzoic acid (MCPBA) in dichloromethane to provide the sulfoxide (VII). Rearrangement of (VII) with simultaneous deoxygenation of the sulfur atom by means of PBr3 in dichloromethane/DMF provides the 3-cephem isomer (VIII).

合成路线图解说明:

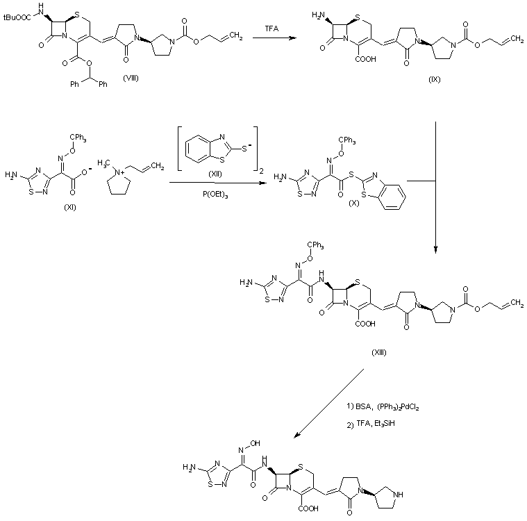
Intermediate (VIII) is treated with TFA and anisole in dichloromethane to deprotect the 7-amino group giving (IX). The condensation of (IX) with 2-(5-amino-1,2,4-thiadiazol-3-yl)-2(Z)-(trityloxyimino)thioacetic acid S-(benzothiazol-2-yl)ester (XII) in DMF gives the expected 4-acetamido derivative (XIII), which is finally deprotected first with bis (trimethylsilyl)acetamide (BSA) and bis(triphenylphosphine)palladium dichloride in dichloromethane to eliminate the allyloxycarbonyl group, and then with TFA and triethylsilane to eliminate the trityl group.

合成路线图解说明:

The cyclization of 3(R)-aminopyrrolidine-1-carboxylic acid allyl ester (I) with 2-bromo-4-chlorobutyryl chloride (II) by means of aqueous NaOH in dichloromethane gives the bipyrrolidine (III), which is treated with triphenylphosphine in dichloromethane yielding the phosphonium salt (IV). The condensation of (IV) with (R,R,R)-7-(tert-butoxycarbonylamino)-3-formyl-2-cephem-4-carboxylic acid diphenylmethyl ester (V) in refluxing THF affords the expected condensation product (VI), which is oxidized at the sulfur atom with triphenylphosphine oxide and meta-chloroperbenzoic acid (MCPBA) in dichloromethane to provide the sulfoxide (VII). Rearrangement of (VII) with simultaneous deoxygenation of the sulfur atom by means of PBr3 in dichloromethane/DMF provides the 3-cephem isomer (VIII).

合成路线图解说明:

Intermediate (VIII) is treated with TFA and anisole in dichloromethane to deprotect the 7-amino group giving (IX). The condensation of (IX) with 2-(5-amino-1,2,4-thiadiazol-3-yl)-2(Z)-(trityloxyimino)thioacetic acid S-(benzothiazol-2-yl)ester (XII) in DMF gives the expected 4-acetamido derivative (XIII), which is deprotected first with bis(trimethylsilyl)acetamide (BSA) and bis(triphenylphosphine)palladium dichloride in dichloromethane to eliminate the allyloxycarbonyl group, and then with TFA and triethylsilane to eliminate the trityl group affording Ro-63-9141 (XIV).

参考文献No.487110
标题:Synthesis and SAR of pyrrolidinone-3-ylidenmethyl cephems against methicillin-resistant Staphylococcus aureus
作者:Hebeisen, P.; Weiss, U.; Angehrn, P.; Runtz, V.; Kansy, M.; Heinze-Krauss, I.; Page, M.
来源:38th Intersci Conf Antimicrob Agents Chemother (Sept 24 1998, San Diego) 1998,Abst F-21
合成路线图解说明:

The cyclization of 3(R)-aminopyrrolidine-1-carboxylic acid allyl ester (I) with 2-bromo-4-chlorobutyryl chloride (II) by means of aqueous NaOH in dichloromethane gives the bipyrrolidine (III), which is treated with triphenylphosphine in dichloromethane yielding the phosphonium salt (IV). The condensation of (IV) with (R,R,R)-7-(tert-butoxycarbonylamino)-3-formyl-2-cephem-4-carboxylic acid diphenylmethyl ester (V) in refluxing THF affords the expected condensation product (VI), which is oxidized at the sulfur atom with triphenylphosphine oxide and meta-chloroperbenzoic acid (MCPBA) in dichloromethane to provide the sulfoxide (VII). Rearrangement of (VII) with simultaneous deoxygenation of the sulfur atom by means of PBr3 in dichloromethane/DMF provides the 3-cephem isomer (VIII).

合成路线图解说明:

Intermediate (VIII) is treated with TFA and anisole in dichloromethane to deprotect the 7-amino group giving (IX). The condensation of (IX) with 2-(5-amino-1,2,4-thiadiazol-3-yl)-2(Z)-(trityloxyimino)thioacetic acid S-(benzothiazol-2-yl)ester (XII) in DMF gives the expected 4-acetamido derivative (XIII), which is finally deprotected first with bis (trimethylsilyl)acetamide (BSA) and bis(triphenylphosphine)palladium dichloride in dichloromethane to eliminate the allyloxycarbonyl group, and then with TFA and triethylsilane to eliminate the trityl group.

合成路线图解说明:

The cyclization of 3(R)-aminopyrrolidine-1-carboxylic acid allyl ester (I) with 2-bromo-4-chlorobutyryl chloride (II) by means of aqueous NaOH in dichloromethane gives the bipyrrolidine (III), which is treated with triphenylphosphine in dichloromethane yielding the phosphonium salt (IV). The condensation of (IV) with (R,R,R)-7-(tert-butoxycarbonylamino)-3-formyl-2-cephem-4-carboxylic acid diphenylmethyl ester (V) in refluxing THF affords the expected condensation product (VI), which is oxidized at the sulfur atom with triphenylphosphine oxide and meta-chloroperbenzoic acid (MCPBA) in dichloromethane to provide the sulfoxide (VII). Rearrangement of (VII) with simultaneous deoxygenation of the sulfur atom by means of PBr3 in dichloromethane/DMF provides the 3-cephem isomer (VIII).

合成路线图解说明:

Intermediate (VIII) is treated with TFA and anisole in dichloromethane to deprotect the 7-amino group giving (IX). The condensation of (IX) with 2-(5-amino-1,2,4-thiadiazol-3-yl)-2(Z)-(trityloxyimino)thioacetic acid S-(benzothiazol-2-yl)ester (XII) in DMF gives the expected 4-acetamido derivative (XIII), which is deprotected first with bis(trimethylsilyl)acetamide (BSA) and bis(triphenylphosphine)palladium dichloride in dichloromethane to eliminate the allyloxycarbonyl group, and then with TFA and triethylsilane to eliminate the trityl group affording Ro-63-9141 (XIV).

Drug Information Express,Drug R&D,Chemical Database,Patent Search.
Copyright © 2006-2026 Drug Future. All rights reserved.Contact Us