【药物名称】PPYDC
化学结构式(Chemical Structure):
参考文献No.482142
标题:Synthesis and biological activity of conformationally restricted analogues of milnacipran: (1S,2R)-1-phenyl-2-[(R)-1-amino-2-propynyl]-N,N-diethylcyclopropanecarboxamide is a novel class of NMDA receptor channel blocker
作者:Shuto, S.; Ono, S.; Imoto, H.; Yoshii, K.; Matsuda, A.
来源:J Med Chem 1998,41(18),3507
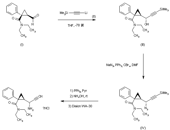
合成路线图解说明:

Addition of lithium trimethylsilylacetylide (II) to chiral cyclopropane- carbaldehyde (I) gave propargyl alcohol (III). This was condensed with NaN3 in the presence of CBr4 and PPh3 to provide azide (IV) with retention of configuration. Subsequent treatment of (IV) with PPh3 in pyridine, and then with aqueous ammonia furnished the desired amine, which was isolated as the hydrochloride salt after chromatography over Diaion WA-30 resin.

Drug Information Express,Drug R&D,Chemical Database,Patent Search.
Copyright © 2006-2026 Drug Future. All rights reserved.Contact Us