【药物名称】LG-120830
化学结构式(Chemical Structure):
参考文献No.30336
标题:Steroid receptor modulator cpds. and methods
作者:Jones, T.K.; Goldman, M.E.; Pooley, C.L.F.; Winn, D.T.; Edwards, J.E.; West, S.J.; Tegley, C.M.; Zhi, L.; Hamann, L.G.; Farmer, L.J.; Davis, R.J. (Ligand Pharmaceuticals, Inc.)
来源:EP 0800519; JP 1998510840; US 5688808; US 5688810; US 5693646; US 5693647; US 5696127; US 5696130; US 5696133; WO 9619458
合成路线图解说明:

The Skraup reaction of 4-bromoaniline (I) with acetone and iodine afforded dihydroquinoline (II), which was protected as the tert-butyl carbamate (III) with Boc2O in the presence of n-BuLi. Lithium-halogen exchange in (III), followed by treatment with trimethyl borate provided boronic acid (IV). Subsequent Suzuki coupling of (IV) with 3-bromobenzonitrile (V) using tetrakis(triphenylphosphine)-palladium produced the 6-arylquinoline (VI). The Boc group of (VI) was finally removed with trifluoroacetic acid to furnish the title compound.

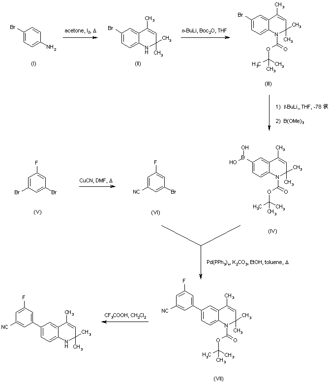
合成路线图解说明:

The Skraup reaction of 4-bromoaniline (I) with acetone and iodine afforded dihydroquinoline (II), which was protected as the tert-butyl carbamate (III) with Boc2O in the presence of n-BuLi. Subsequent lithium-halogen exchange in (III), followed by treatment with trimethyl borate provided boronic acid (IV). Nitrile (VI) was obtained by treatment of 1,3-dibromo-5-fluorobenzene (V) with cuprous cyanide in DMF. Then, Suzuki coupling of boronic acid (IV) with bromobenzonitrile (VI) using tetrakis(triphenylphosphine)-palladium produced the 6-arylquinoline (VII). The Boc group of (VII) was finally removed with trifluoroacetic acid to furnish the title compound.

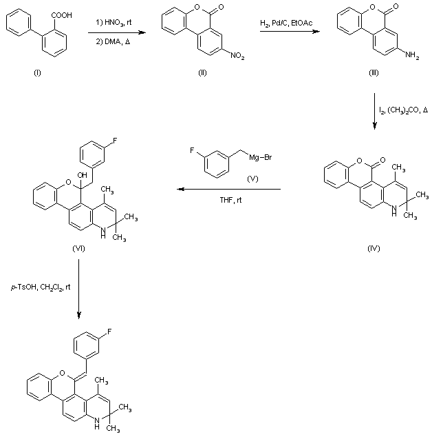
合成路线图解说明:

Nitration of 2-biphenylcarboxylic acid (I) with fuming nitric acid produced a mixture of two regioisomeric dinitro derivatives. Subsequent refluxing of this mixture in dimethylacetamide provided, after crystallization, the required benzocoumarin (II). Catalytic hydrogenation of the nitro group of (II) over Pd/C yielded amine (III). Then, heating of amine (III) with acetone in a sealed tube in the presence of iodine furnished the coumarinoquinoline (IV). The reaction of (IV) with 3-fluorobenzylmagnesium bromide (V) gave the intermediate cyclic hemiacetal (VI), which was finally dehydrated with p-toluenesulfonic acid in CH2Cl2 to afford the title benzylidene compound.

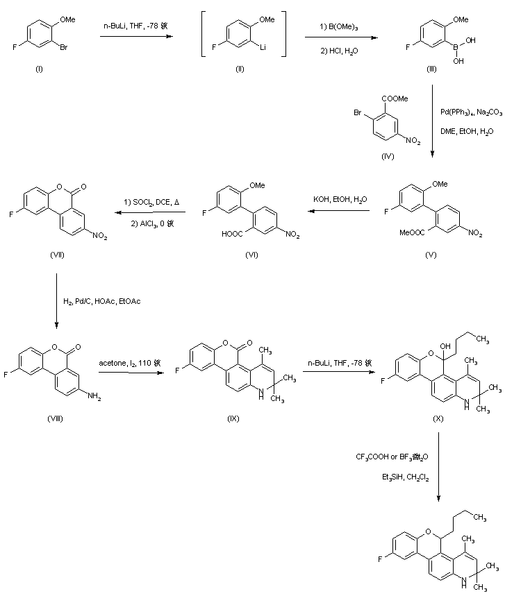
合成路线图解说明:

Lithiation of 2-bromo-4-fluoroanisole (I) produced the intermediate organolithium reagent (II), which was treated with trimethyl borate to yield, after acid hydrolysis, the arylboronic acid (III). Subsequent Suzuki coupling of (III) with methyl 2-bromo-5-nitrobenzoate (IV) in the presence of palladium catalyst afforded biphenyl (V). The methyl ester group of (V) was hydrolyzed with KOH to give acid (VI). This was converted to the acid chloride with SOCl2, and then cyclized to the benzocoumarin (VII) employing AlCl3. Reduction of the nitro group of (VII) by hydrogenation over Pd/C produced aniline (VIII). The required quinoline derivative (IX) was prepared by heating (VIII) with acetone and iodine in a pressure tube. Then, addition of butyllithium to the lactone function produced hemiacetal (X). This was finally reduced with triethylsilane in the presence of a protic or a Lewis acid to provide the title compound.

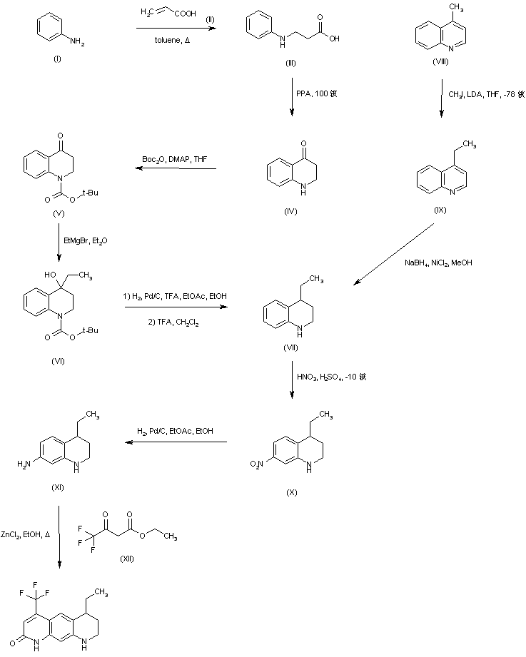
合成路线图解说明:

The intermediate 4-ethyltetrahydroquinoline (VII) has been prepared by two procedures: 1.- Conjugate addition of acrylic acid (II) to aniline (I) gave 3-(phenylamino)propionic acid (III), which was cyclized with PPA at 100 C to afford quinolinone (IV). After protection of (IV) as the tert-butyl carbamate (V), addition of ethylmagnesium bromide provided carbinol (VI). Hydrogenolysis of the hydroxyl group of (VI), followed by deprotection with trifluoroacetic acid then furnished tetrahydroquinoline (VII). 2.- In an alternative procedure, side-chain alkylation of lepidine (VIII) with CH3I and LDA provided 4-ethylquinoline (IX). This was then reduced to the desired tetrahydroquinoline (VII) using NaBH4 and NiCl2. 3.- After nitration of (VII) with HNO3 and H2SO4, the resulting 7-nitroquinoline (X) was reduced to diamine (XI) by catalytic hydrogenation over Pd/C. Finally, Knorr cyclization of (XI) with ethyl 4,4,4-trifluoroacetylacetate (XII) and ZnCl2 produced the target pyridoquinoline.

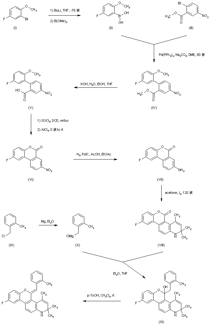
合成路线图解说明:

Lithiation of 2-bromo-4-fluoroanisole (I), followed by treatment with trimethyl borate and acidic work up leads to 5-fluoro-2-methoxyphenylboronic acid (II). Suzuki coupling between boronic acid (II) and methyl 2-bromo-5-nitrobenzoate (III) provides the biphenylcarboxylate ester (IV), which is further hydrolyzed to the carboxylic acid (V) under basic conditions. After chlorination of (V) with SOCl2, the intermediate acid chloride is treated with AlCl3 to generate the benzocoumarin (VI). Subsequent nitro group reduction in (VI) by catalytic hydrogenation yields amine (VII). Heating aniline (VII) with acetone and I2 at 120 C in a pressure vessel gives rise to the coumarinoquinoline derivative (VIII) (1). 2-Methylbenzyl chloride (IX) is converted to the corresponding Grignard reagent (X) and then condensed with the tetracyclic lactone (VIII) to provide the hemiacetal adduct (XI). Finally, dehydration of (XI) under acidic conditions furnishes the title compound (1,2).

参考文献No.524376
标题:Discovery and preliminary SAR studies of a novel, nonsteroidal progesterone receptor antagonist phamacophore
作者:Pooley, C.L.F.; Edwards, J.P.; Goldman, M.E.; Wang, M.-W.; Marschke, K.B.; Crombie, D.L.; Jones, T.K.
来源:J Med Chem 1998,41(18),3461
合成路线图解说明:

The Skraup reaction of 4-bromoaniline (I) with acetone and iodine afforded dihydroquinoline (II), which was protected as the tert-butyl carbamate (III) with Boc2O in the presence of n-BuLi. Lithium-halogen exchange in (III), followed by treatment with trimethyl borate provided boronic acid (IV). Subsequent Suzuki coupling of (IV) with 3-bromobenzonitrile (V) using tetrakis(triphenylphosphine)-palladium produced the 6-arylquinoline (VI). The Boc group of (VI) was finally removed with trifluoroacetic acid to furnish the title compound.

合成路线图解说明:

The Skraup reaction of 4-bromoaniline (I) with acetone and iodine afforded dihydroquinoline (II), which was protected as the tert-butyl carbamate (III) with Boc2O in the presence of n-BuLi. Subsequent lithium-halogen exchange in (III), followed by treatment with trimethyl borate provided boronic acid (IV). Nitrile (VI) was obtained by treatment of 1,3-dibromo-5-fluorobenzene (V) with cuprous cyanide in DMF. Then, Suzuki coupling of boronic acid (IV) with bromobenzonitrile (VI) using tetrakis(triphenylphosphine)-palladium produced the 6-arylquinoline (VII). The Boc group of (VII) was finally removed with trifluoroacetic acid to furnish the title compound.

Drug Information Express,Drug R&D,Chemical Database,Patent Search.
Copyright © 2006-2026 Drug Future. All rights reserved.Contact Us