【药物名称】SK-1875
化学结构式(Chemical Structure):
参考文献No.540959
标题:Synthesis and evaluation of 2-amino-9-(3-hydroxymethyl-4-alkoxycarbonyloxybut-1-yl)purines as potential prodrugs of penciclovir
作者:Kim, D.-K.; Lee, N.; Kim, Y.-W.; Chang, K.; Kim, J.S.; Im, G.J.; Choi, W.S.; Jung, I.; Kim, T.S.; Hwang, Y.Y.; Min, D.S.; Um, K.A.; Cho, Y.B.; Kim, K.H.
来源:J Med Chem 1998,41(18),3435
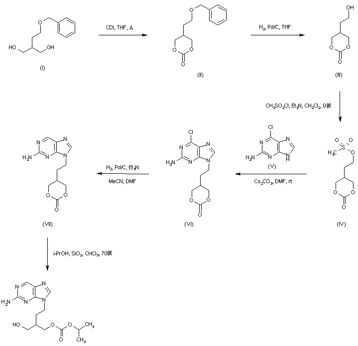
合成路线图解说明:

Treatment of diol (I) with 1,1'-carbonyldiimidazole produced the cyclic carbonate (II). Cleavage of the O-benzyl group of (II) by hydrogenolysis over Pd/C, gave alcohol (III), which was converted to mesylate (IV) by means of MsCl and Et3N. Subsequent coupling of (IV) with 2-amino-6-chloropurine (V) produced the 9-alkylated derivative (VI). The chlorine atom of (VI) was then removed by hydrogenolysis in the presence of Pd/C and Et3N to furnish (VII). Finally, opening of the cyclic carbonate group of (VII) with isopropanol upon heating in the presence of silica gel yielded the target compound.

参考文献No.541600
标题:Synthesis of carbon-14 labelled 2-amino-9-(3-hydroxymethyl-4-isopropoxycarbonyloxybut-1-yl)purine (SK 1875), a potential prodrug of penciclovir
作者:Kim, D.K.; et al.
来源:J Label Compd Radiopharm 1999,42(6),597
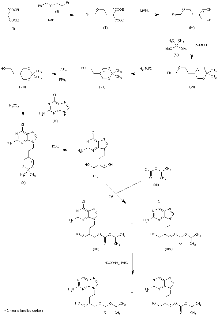
合成路线图解说明:

The reaction of monolabeled diethyl malonate (I) with 2-benzyloxyethyl bromide (II) by means of NaH in refluxing THF gives the corresponding benzyloxyethyl derivative (III), which is reduced with LiAlH4 in ethyl ether yielding the diol (IV). The protection of (IV) by reaction with 2,2-dimethoxypropane (V) and p-toluenesulfonic acid affords the 1,3-dioxane (VI), which is debenzylated with H2 over Pd/C in THF giving the alcohol (VII). The reaction of (VII) with CBr4 and PPh3 in DMF yields the bromide (VIII), which is condensed with the purine (IX) by means of K2CO3 in DMF affording the expected purin-9-yl derivative (X). The hydrolysis of the 1,3-dioxane group with AcOH /water gives the diol (XI), which is monoacylated with isopropyl chloroformate (XII) by means of cool pyridine yielding the mixture of regioisomers (XIII), (XIV). Finally, this mixture is dechlorinated with ammonium formate over Pd/C in refluxing methanol afffording the target compound also as a mixture of regioisomers.

Drug Information Express,Drug R&D,Chemical Database,Patent Search.
Copyright © 2006-2026 Drug Future. All rights reserved.Contact Us