【药物名称】CGP-75136
化学结构式(Chemical Structure):
参考文献No.34778
标题:Antivirally active heterocyclic azahexane derivs.
作者:F鋝sler, A.; Bold, G.; Capraro, H.-G.; Lang, M.; Khanna, S.C. (Novartis AG)
来源:EP 0900210; JP 1999511177; US 5849911; WO 9740029
合成路线图解说明:

1) The reaction of 4-bromobenzaldehyde (I) with trimethylorthoformate (II) and p-toluenesulfonic acid in methanol gives ketal (III), which is condensed with 2-pyridylmagnesium bromide in THF, yielding 4-(2-pyridyl)benzaldehyde (IV). The reaction of (IV) with tert-butyl carbazate (V) in refluxing ethanol affords hydrazone (VI), which is reduced with H2 over Pd/C in methanol to the hydrazine (VII). The condensation of (VII) with the epoxide (VIII) in hot isopropanol gives the expected addition product (IX), which by treatment with HCl or formic acid results in the fully deprotected intermediate (X). Finally, this compound is condensed with N-(methoxycarbonyl)-L-tert-leucine (XI) by means of O-(2-oxo-1,2-dihydro-1-pyridyl)-N,N,N',N'-tetramethyluronium tetrafluoroborate (TPTU) in dichloromethane or DMF.

合成路线图解说明:

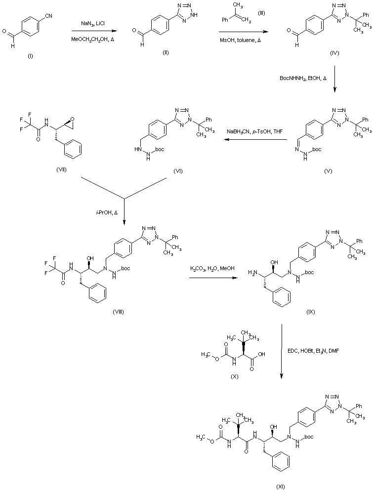
Cycloaddition of sodium azide to 4-formylbenzonitrile (I) yielded tetrazole (II), which was protected with 2-phenylpropene (III) in the presence of methanesulfonic acid to give (IV). Subsequent condensation of (IV) with tert-butyl carbazate afforded hydrazone (V), which was further reduced to the benzylhydrazine (VI) employing NaBH3CN and p-toluenesulfonic acid. Opening of the trifluoroacetyl-protected epoxide (VII) with hydrazine (VI) gave hydrazinoalcohol (VIII). After hydrolysis of the trifluoroacetamide group of (VIII) with K2CO3, the resulting amine (IX) was coupled with N-methoxycarbonyl-L-tert-leucine (X) by means of EDC and HOBt to provide amide (XI).

合成路线图解说明:

Deprotection of the Boc group of XI) by treatment with HCl furnished hydrazine (XII), which was coupled with N-methoxycarbonyl-L-tert-leucine (X) to afford bisamide (XIII). The alpha,alpha-dimethyl benzyl protecting group of (XIII) was then removed with 80% H2SO4, and the deprotected tetrazole (XIV) was finally alkylated with CH3I to provide the title compound.

合成路线图解说明:

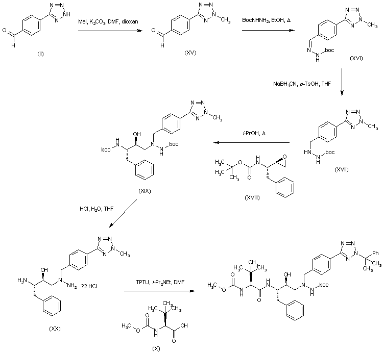
In a variation of this procedure, aryl tetrazole (II) was alkylated with ICH3 to provide methyltetrazole (XV). Condensation of (XV) with tert-butyl carbazate afforded hydrazone (XVI), which was reduced to the benzylhydrazine (XVII) by means of NaBH3CN and p-toluenesulfonic acid. Opening of the Boc-protected epoxide (XVIII) with hydrazine (XVII) gave hydrazinoalcohol (XIX). Acid deprotection of both Boc groups of (XIX) furnished diamino compound (XX), which was finally coupled with N-methoxycarbonyl-L-tert-leucine (X) by means of TPTU.

合成路线图解说明:

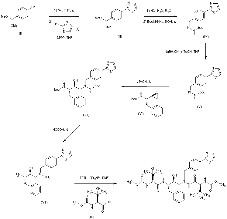
4-Bromobenzaldehyde dimethyl acetal (I) was converted to the corresponding Grignard reagent and then coupled with 2-bromothiazole (II) in the presence of [1,3-bis(diphenylphosphino)propane]nickel chloride to afford 4-(2-thiazolyl)benzaldehyde dimethylacetal (III). After acid hydrolysis of the acetal group of (II), the resulting aldehyde was condensed with tert-butyl carbazate to give hydrazone (IV), which was further reduced to the benzylhydrazine (V) employing NaBH3CN and p-toluenesulfonic acid. Opening of the Boc-protected epoxide (VI) with hydrazine (V) gave hydrazinoalcohol (VII). Both Boc groups of (VII) were removed by treatment with formic acid to yield diamino compound (VIII). Finally, coupling of (VIII) with N-methoxycarbonyl-L-tert-leucine (IX) by means of O-(1,2-dihydro-2-oxo-1-pyridyl)-N,N,N',N'-tetramethyluronium tetra fluoroborate (TPTU) provided the title bisamide.

参考文献No.479535
标题:New aza-dipeptide analogues as potent and orally a
作者:Bold, G.; F鋝sler, A.; Capraro, H.-G.; Cozens, R.; Klimkait, T.; Lazdins, J.; Mestan, J.; Poncioni, B.; Rosel, J.; Stover, D.; Tintelnot-Blomley, M.; Acemoglu, F.; Beck, W.; Boss, E.; Eschbach, M.; Hurlimann, T.; Masso, E.; Roussel, S.; et al.
来源:J Med Chem 1998,41(18),3387
合成路线图解说明:

In an alternative procedure, condensation of 4-biphenylcarbaldehyde (X) with tert-butyl carbazate afforded hydrazone (XI), which was reduced to the benzylhydrazine (XII) by hydrogenation over Pd/C. Opening of the Boc-protected epoxide (XIII) with hydrazine (XII) gave hydrazinoalcohol (VI). This was deprotected with HCl and then coupled as above with N-methoxycarbonyl-L-tert-leucine (X) by means of TPTU.

合成路线图解说明:

1) The reaction of 4-bromobenzaldehyde (I) with trimethylorthoformate (II) and p-toluenesulfonic acid in methanol gives ketal (III), which is condensed with 2-pyridylmagnesium bromide in THF, yielding 4-(2-pyridyl)benzaldehyde (IV). The reaction of (IV) with tert-butyl carbazate (V) in refluxing ethanol affords hydrazone (VI), which is reduced with H2 over Pd/C in methanol to the hydrazine (VII). The condensation of (VII) with the epoxide (VIII) in hot isopropanol gives the expected addition product (IX), which by treatment with HCl or formic acid results in the fully deprotected intermediate (X). Finally, this compound is condensed with N-(methoxycarbonyl)-L-tert-leucine (XI) by means of O-(2-oxo-1,2-dihydro-1-pyridyl)-N,N,N',N'-tetramethyluronium tetrafluoroborate (TPTU) in dichloromethane or DMF.

合成路线图解说明:

In a variation of this procedure, aryl tetrazole (II) was alkylated with ICH3 to provide methyltetrazole (XV). Condensation of (XV) with tert-butyl carbazate afforded hydrazone (XVI), which was reduced to the benzylhydrazine (XVII) by means of NaBH3CN and p-toluenesulfonic acid. Opening of the Boc-protected epoxide (XVIII) with hydrazine (XVII) gave hydrazinoalcohol (XIX). Acid deprotection of both Boc groups of (XIX) furnished diamino compound (XX), which was finally coupled with N-methoxycarbonyl-L-tert-leucine (X) by means of TPTU.

合成路线图解说明:

4-Bromobenzaldehyde dimethyl acetal (I) was converted to the corresponding Grignard reagent and then coupled with 2-bromothiazole (II) in the presence of [1,3-bis(diphenylphosphino)propane]nickel chloride to afford 4-(2-thiazolyl)benzaldehyde dimethylacetal (III). After acid hydrolysis of the acetal group of (II), the resulting aldehyde was condensed with tert-butyl carbazate to give hydrazone (IV), which was further reduced to the benzylhydrazine (V) employing NaBH3CN and p-toluenesulfonic acid. Opening of the Boc-protected epoxide (VI) with hydrazine (V) gave hydrazinoalcohol (VII). Both Boc groups of (VII) were removed by treatment with formic acid to yield diamino compound (VIII). Finally, coupling of (VIII) with N-methoxycarbonyl-L-tert-leucine (IX) by means of O-(1,2-dihydro-2-oxo-1-pyridyl)-N,N,N',N'-tetramethyluronium tetra fluoroborate (TPTU) provided the title bisamide.

Drug Information Express,Drug R&D,Chemical Database,Patent Search.
Copyright © 2006-2026 Drug Future. All rights reserved.Contact Us