【药物名称】DPIEL, NSC-710297, OMDPI
化学结构式(Chemical Structure):
参考文献No.41673
标题:Inhibitors of phosphatidyl myo-inositol cycle
作者:Powis, G.; Qioa, L.; Kozikowski, A.P. (Georgetown University)
来源:WO 0000206
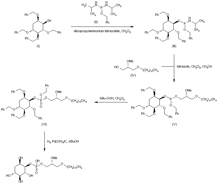
合成路线图解说明:

Phosphitylation of 1D-2,4,5,6-tetra-O-benzyl-3-deoxy-myo-inositol (I) with benzyl tetraisopropylphosphorodiamidite (II) in the presence of diisopropylammonium tetrazolide produced phosphoramidite (III). Subsequent displacement of the remaining diisopropylamino group of (III) by 1-O-octadecyl-2-O-methyl-sn-glycerol (IV) gave phosphite ester (V), which was further oxidized to phosphate (VI) using tert-butyl hydroperoxide. Finally, removal of the benzyl protecting groups of (VI) was achieved by catalytic hydrogenation over Pearlman's catalyst.

参考文献No.540952
标题:3-Deoxy-D-myo-inositol 1-phosphate, 1-phosphonate, and ether lipid analogues as inhibitors of phosphatidylinositol-3-kinase signalling and cancer cell growth
作者:Qiao, L.; Nan, F.; Kunkel, M.; Gallegos, A.; Powis, G.; Kozikowski, A.P.
来源:J Med Chem 1998,41(18),3303
合成路线图解说明:

Phosphitylation of 1D-2,4,5,6-tetra-O-benzyl-3-deoxy-myo-inositol (I) with benzyl tetraisopropylphosphorodiamidite (II) in the presence of diisopropylammonium tetrazolide produced phosphoramidite (III). Subsequent displacement of the remaining diisopropylamino group of (III) by 1-O-octadecyl-2-O-methyl-sn-glycerol (IV) gave phosphite ester (V), which was further oxidized to phosphate (VI) using tert-butyl hydroperoxide. Finally, removal of the benzyl protecting groups of (VI) was achieved by catalytic hydrogenation over Pearlman's catalyst.

Drug Information Express,Drug R&D,Chemical Database,Patent Search.
Copyright © 2006-2026 Drug Future. All rights reserved.Contact Us