【药物名称】L-054522
化学结构式(Chemical Structure):
参考文献No.37516
标题:Somatostatin agonists
作者:Berk, S.; Yang, L.; Chen, M.H.; Johnston, D.; Pasternak, A.; Chapman, K.; Guo, L.; Nargund, R.; Tata, J.R.; Patchett, A.A. (Merck & Co., Inc.)
来源:EP 0984779; US 6063796; WO 9844922
合成路线图解说明:

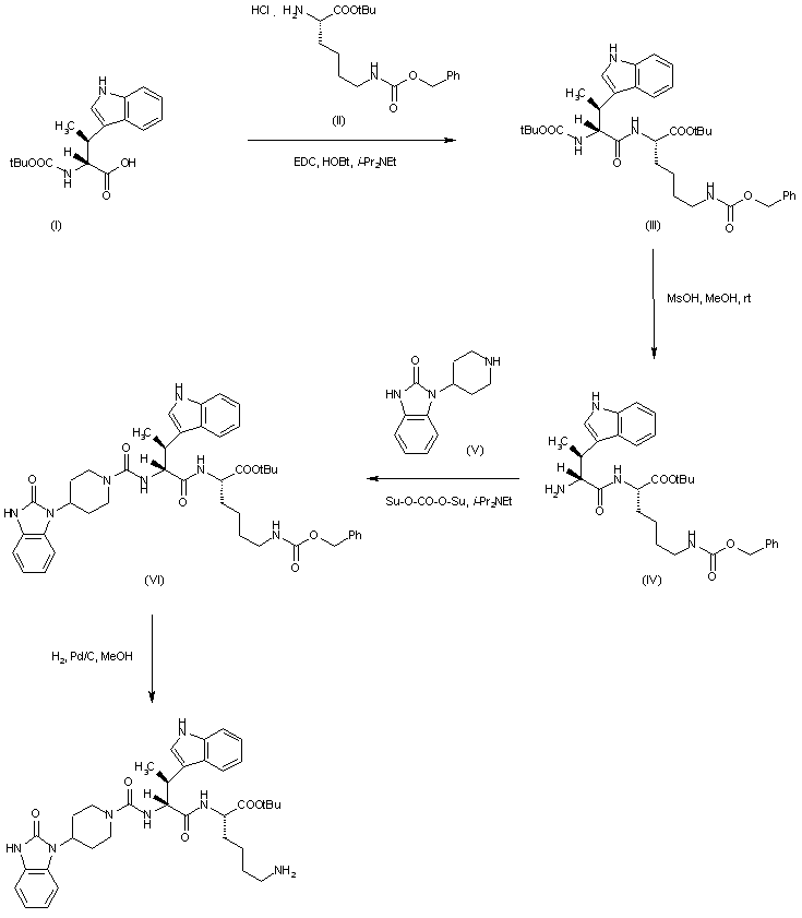
Coupling of N-Boc-beta-methyltryptophan (I) with N-Cbz-lysine tert-butyl ester (II) using EDC and HOBt afforded dipeptide (III). Selective deprotection of the Boc group of (III) with methanesulfonic acid gave amine (IV). This was converted to urea (VI) upon treatment with benzimidazolylpiperidine (V) and N,N'-disuccinimidyl carbonate in the presence of diisopropyl ethylamine. The N-carbobenzoxy group of (VI) was finally deprotected by hydrogenolysis over Pd/C.

参考文献No.481474
标题:Synthesis and biological activities of potent peptidomimetics selective for somatostatin receptor subtype 2
作者:Yang, L.; Berk, S.C.; Rohrer, S.P.; Mosley, R.T.; Guo, L.; Underwood, D.J.; Arison, B.H.; Birzin, E.T.; Hayes, E.C.; Mitra, S.W.; Parmar, R.M.; Cheng, K.; Wu, T.J.; Butler, B.S.; Foor, F.; Pasternak, A.; Pan, Y.; Silva, M.; Freidinger, R.M.; et al.
来源:Proc Natl Acad Sci USA 1998,95(18),10836
合成路线图解说明:

Coupling of N-Boc-beta-methyltryptophan (I) with N-Cbz-lysine tert-butyl ester (II) using EDC and HOBt afforded dipeptide (III). Selective deprotection of the Boc group of (III) with methanesulfonic acid gave amine (IV). This was converted to urea (VI) upon treatment with benzimidazolylpiperidine (V) and N,N'-disuccinimidyl carbonate in the presence of diisopropyl ethylamine. The N-carbobenzoxy group of (VI) was finally deprotected by hydrogenolysis over Pd/C.

Drug Information Express,Drug R&D,Chemical Database,Patent Search.
Copyright © 2006-2026 Drug Future. All rights reserved.Contact Us