【药物名称】
化学结构式(Chemical Structure):
参考文献No.489659
标题:Synthesis and structure-activity relationships of a series of novel thiazoles as inhibitors of aminoacyl-tRNA synthetases
作者:Yu, X.Y.; Hill, J.M.; Yu, G.; Wang, W.; Kluge, A.F.; Wendler, P.; Gallant, P.
来源:Bioorg Med Chem Lett 1999,9(3),375
合成路线图解说明:

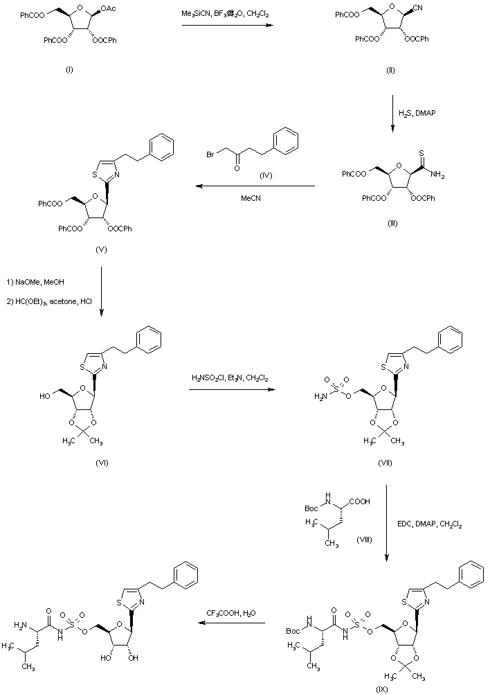
Reaction of 1-O-acetyl-2,3,5-tri-O-benzoyl-beta-D-ribofuranose (I) with trimethylsilyl cyanide in the presence of boron trifluoride gave nitrile (II), which was treated with liquid hydrogen sulfide and DMAP to yield thioamide (III). Condensation of this thioamide with bromoketone (IV) in acetonitrile afforded the thiazole derivative (V). Hydrolysis of the benzoate esters of (V) using sodium methoxide in methanol, followed by protection of the resulting 2,3-diol with acetone and triethyl orthoformate produced the corresponding isopropylidene ketal (VI). Treatment of the primary alcohol group of (VI) with sulfamoyl chloride gave rise to the sulfamate ester (VII). Further condensation of (VII) with N-Boc-L-leucine furnished (IX). The Boc and isopropylidene groups of (IX) were finally eliminated with trifluoroacetic acid to provide the title compound.

Drug Information Express,Drug R&D,Chemical Database,Patent Search.
Copyright © 2006-2026 Drug Future. All rights reserved.Contact Us