【药物名称】
化学结构式(Chemical Structure):
参考文献No.541439
标题:Potent inhibition of steroid sulfatase activity by 3-O-sulfamate 17alpha-Benzyl(or 4'-tert-butylbenzyl)estra-1,3,5(10)-trienes: Combination of two substituents at positions C3 and c17alpha of estradiol
作者:Ciobanu, L.C.; Boivin, R.P.; Luu-The, V.; Labrie, F.; Poirier, D.
来源:J Med Chem 1999,42(12),2280
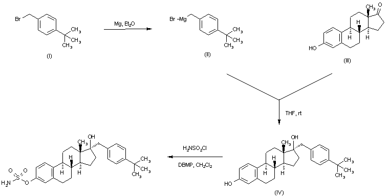
合成路线图解说明:

Grignard reagent (II), prepared from 4-tert-butylbenzyl bromide (I) and magnesium in Et2O, was condensed with estrone (III) to provide the 17-(tert-butylbenzyl)estradiol (IV). Subsequent reaction of (IV) with sulfamoyl chloride in the presence of 2,6-di-tert-butyl-4-methylpyridine (DBMP) yielded the title sulfamate ester.

Drug Information Express,Drug R&D,Chemical Database,Patent Search.
Copyright © 2006-2026 Drug Future. All rights reserved.Contact Us