【药物名称】
化学结构式(Chemical Structure):
参考文献No.550131
标题:N-Arylpiperazinone inhibitors of farnesyltransferase: Discovery and biological activity
作者:Williams, T.M.; Bergman, J.M.; Brashear, K.; Breslin, M.J.; Dinsmore, C.J.; Hutchinson, J.H.; MacTough, S.C.; Stump, C.A.; Wei, D.D.; Zartman, C.B.; Bogusky, M.J.; Culberson, J.C.; Buser-Doepner, C.; Davide, J.; Greenberg, I.B.; Hamilton, K.A.; et al.
来源:J Med Chem 1999,42(19),3779
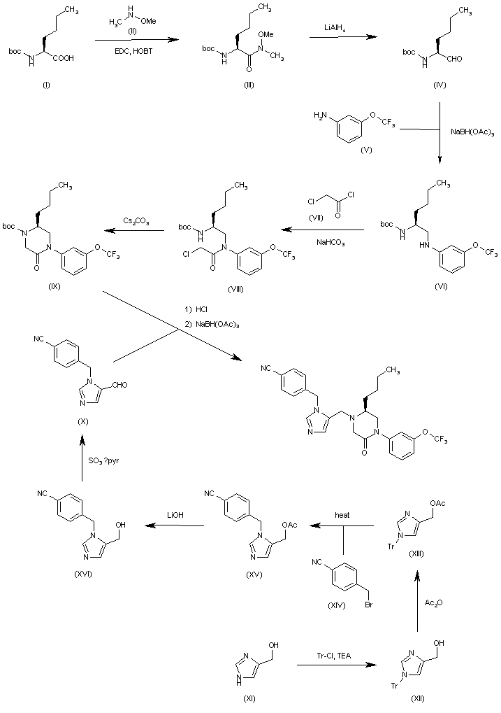
合成路线图解说明:

The reaction of N-(tert-butoxycarbonyl)-L-norleucine (I) with N,O-dimethylhydroxylamine (II) by means of EDC, HOBT and TEA in DMF gives the methoxyamide (III), which is reduced with LiAlH4 to the corresponding aldehyde (IV). The reductocondensation of (IV) with 3-(trifluoromethoxy)aniline (V) by means of NaBH(OAc)3 affords the secondary amine (VI), which is acylated with chloroacetyl chloride (VII) and NaHCO3 to the chloroacetamide (VIII). The cyclization of (VIII) by means of Cs2CO3 in DMF gives the piperazinone (IX), which is finally reductocondensed with 1-(4-cyanobenzyl)imidazole-5-carbaldehyde (X) by means of NaBH(OAc)3. The intermediate 1-(4-cyanobenzyl)imidazole-5-carbaldehyde (X) has been obtained as follows: The tritylation of 1H-imidazole-4-methanol (XI) with trityl chloride and TEA in DMF gives the corresponding 1-trityl derivative (XII), which is acetylated with Ac2O and pyridine yielding the acetate (XIII). The condensation of (XIII) with 4-(bromomethyl)benzonitrile (XIV) in hot ethyl acetate affords 4-(5-acetoxyimidazol-1-ylmethyl)benzonitrile (XV), which is hydrolyzed with LiOH in THF/water providing the carbinol (XVI). Finally, this alcohol is oxidized to the target aldehyde (X) by means of SO3 and pyridine in DMSO.

Drug Information Express,Drug R&D,Chemical Database,Patent Search.
Copyright © 2006-2026 Drug Future. All rights reserved.Contact Us