【药物名称】
化学结构式(Chemical Structure):
参考文献No.536105
标题:L-tryptophan urea amides as NK1/NK2 dual antagonists
作者:Qi, S.; Shah, S.K.; Cascieri, M.A.; Sadowski, S.J.; MaCcoss, M.
来源:Bioorg Med Chem Lett 1998,8(16),2259
合成路线图解说明:

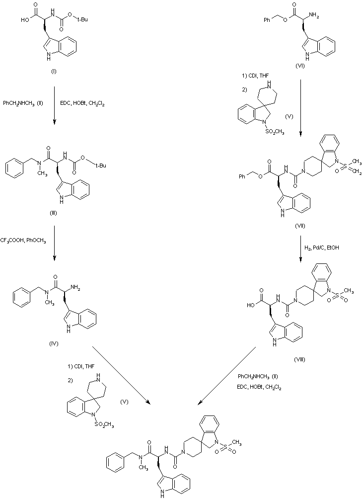
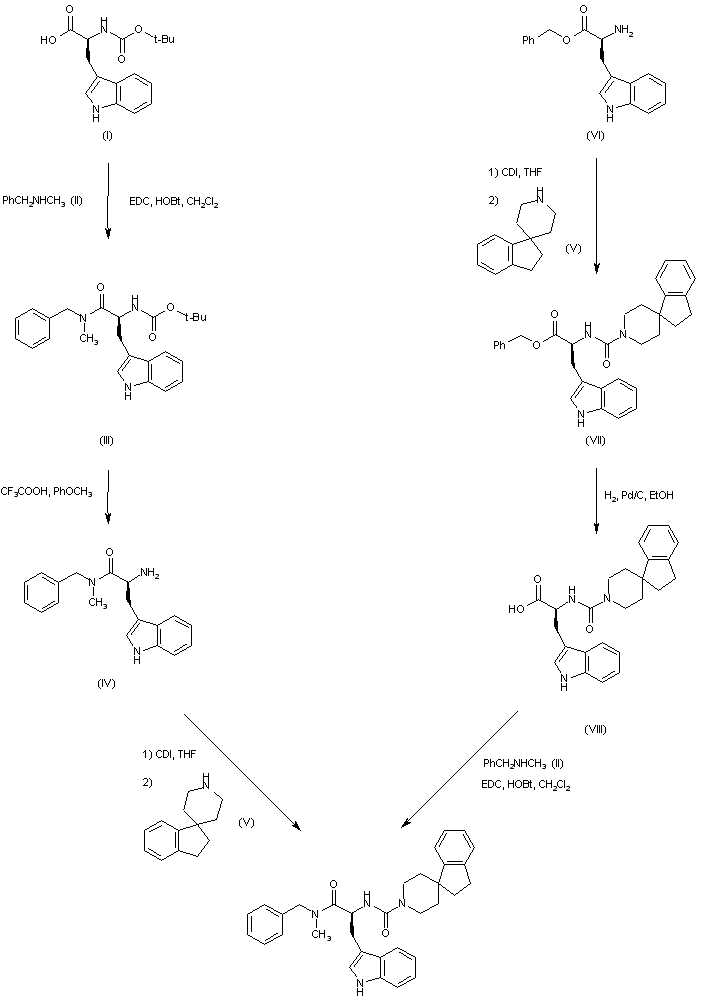
The compound can be prepared by two related ways. Coupling of N-Boc-L-tryptophan (I) with benzyl methyl amine (II) employing EDC and HOBt afforded amide (III). The Boc of (III) group was removed by treatment with trifluoroacetic acid and anisole to give amine (IV). Then, sequential reaction of (IV) with 1,1'-carbonyldiimidazole and with piperidine (V) yielded the target urea. In a related procedure, urea formation between L-tryptophan benzyl ester (VI) and piperidine (V) gave (VII). Subsequent catalytic hydrogenolysis of the benzyl ester of (VII) provided acid (VIII). This was finally coupled to benzyl methyl amine (II) to produce the title compound.

合成路线图解说明:

The compound can be prepared by two related ways. Coupling of N-Boc-L-tryptophan (I) with benzyl methyl amine (II) employing EDC and HOBt afforded amide (III). The Boc group of (III) was removed by treatment with trifluoroacetic acid and anisole to give amine (IV). Then, sequential reaction of (IV) with 1,1'-carbonyldiimidazole and with piperidine (V) yielded the target urea. In a related procedure, urea formation between L-tryptophan benzyl ester (VI) and piperidine (V) gave (VII). Subsequent catalytic hydrogenolysis of the benzyl ester of (VII) provided acid (VIII). This was finally coupled to benzyl methyl amine (II) to produce the title compound.

Drug Information Express,Drug R&D,Chemical Database,Patent Search.
Copyright © 2006-2026 Drug Future. All rights reserved.Contact Us