【药物名称】
化学结构式(Chemical Structure):
参考文献No.529200
标题:Structure-based design of N-[2-(1-piperidinylethyl)]-N'-[2-(5-bromopyridyl)]-thiourea and N-[2-(1-piperazinylethyl)]-N'-[2-(5-bromopyridyl)]-thiourea as potent non-nucleoside inhibitors of HIV-1 reverse transcriptase
作者:Mao, C.; Vig, R.; Venkatachalam, T.K.; Sudbeck, E.A.; Uckun, F.M.
来源:Bioorg Med Chem Lett 1998,8(16),2213
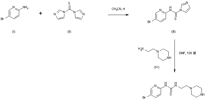
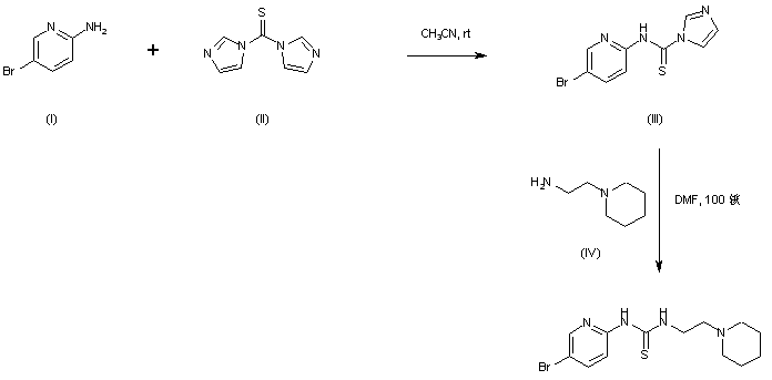
合成路线图解说明:

Condensation of 2-amino-5-bromopyridine (I) with 1,1-thiocarbonyl diimidazole (II) furnished the thiocarbonyl derivative (III). Further reaction of (III) with 1-(2-aminoethyl)piperidine (IV) gave the target thiourea.

合成路线图解说明:

Condensation of 2-amino-5-bromopyridine (I) with 1,1-thiocarbonyl diimidazole (II) furnished the thiocarbonyl derivative (III). Further reaction of (III) with 1-(2-aminoethyl)piperazine (IV) gave the target thiourea.

Drug Information Express,Drug R&D,Chemical Database,Patent Search.
Copyright © 2006-2026 Drug Future. All rights reserved.Contact Us