| 参考文献No. | 536094 |
| 标题: | Synthesis and pharmacological evaluation of benzofuran-acetamides as "antineophobic" mitochondrial DBI receptor complex ligands |
| 作者: | Liao, Y.; Kozikowski, A.P.; Guidotti, A.; Costa, E. |
| 来源: | Bioorg Med Chem Lett 1998,8(16),2099 |
 |
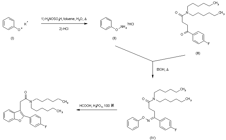
| 合成路线图解说明: O-Phenylhydroxylamine hydrochloride (II) (prepared from potassium phenoxide (I) and hydroxylamine-O-sulfonic acid) was condensed with ketoamide (III) in refluxing EtOH to afford oxime (IV). This was converted to the target benzofuran by heating in a mixture of formic acid and phosphoric acid. |
 |
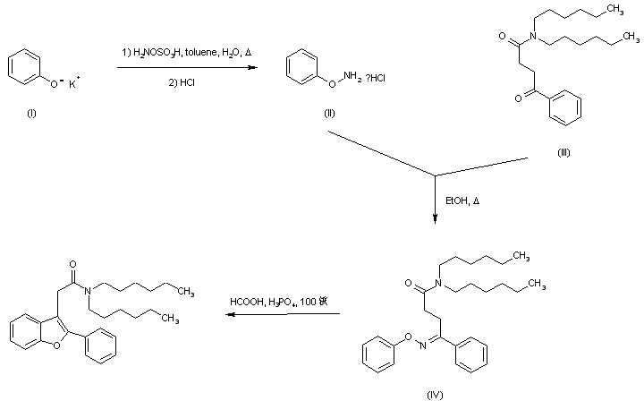
| 合成路线图解说明: O-Phenylhydroxylamine hydrochloride (II) (prepared from potassium phenoxide (I) and hydroxylamine-O-sulfonic acid) was condensed with ketoamide (III) in refluxing EtOH to afford oxime (IV). This was converted to the target benzofuran by heating in a mixture of formic acid and phosphoric acid. |