【药物名称】PD-171729
化学结构式(Chemical Structure):
参考文献No.269635
标题:Mechanism of inhibition of DNA gyrase by cyclothialidine, a novel DNA gyrase inhibitor
作者:Nakada, N.; Gmunder, H.; Hirata, T.; Arisawa, M.
来源:Antimicrob Agents Chemother 1994,38(9),1966
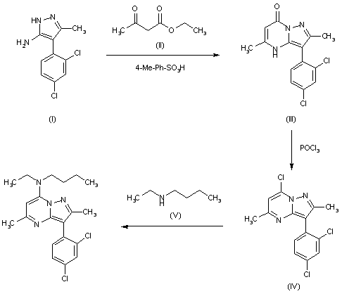
合成路线图解说明:

The cyclization of 5-aminopyrazole (I) with ethyl acetoacetate (II) by means of p-tolulenesulfonic acid in refluxing toluene gives the pyrazolo-pyrimidinone (III), along with its undesired isomer that is separated by crystallization or chromatography. The reaction of (III) with POCl3 gives the chloro derivative (IV), which is finally condensed with butylethylamine (V).

Drug Information Express,Drug R&D,Chemical Database,Patent Search.
Copyright © 2006-2026 Drug Future. All rights reserved.Contact Us