【药物名称】
化学结构式(Chemical Structure):
参考文献No.469676
标题:Asymmetric synthesis of antimitotic combretadioxolane with potent antitumor activity against multi-drug resistant cells
作者:Shirai, R.; Takayama, H.; Nishikawa, A.; Koiso, Y.; Hashimoto, Y.
来源:Bioorg Med Chem Lett 1998,8(15),1997
合成路线图解说明:

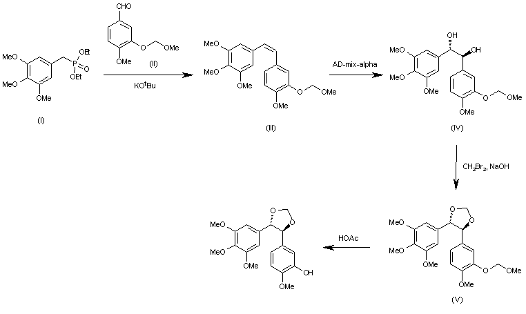
The Wittig condensation of benzyl phosphonate (I) with benzaldehyde (II) by means of potassium tert-butoxide in THF gives the (Z)-stilbene (III), which is regioselectively oxidized with AD-mix-alpha, methanesulfonamide and Na2CO3 in tert-butanol/water/dichloromethane yielding the (S,S)-diol (IV). The diol (IV) is converted into the dioxolane (V) by reaction with CH2Br2 by means of NaOH and cetyltrimethylammonium bromide. Finally, this compound is treated with acetic acid to eliminate the methoxymethyl protecting group.

Drug Information Express,Drug R&D,Chemical Database,Patent Search.
Copyright © 2006-2026 Drug Future. All rights reserved.Contact Us