【药物名称】SR-4895
化学结构式(Chemical Structure):
参考文献No.26790
标题:Method of tumor treatment
作者:Brown, M.J. (Leland Stanford Junior University)
来源:EP 0649658
合成路线图解说明:

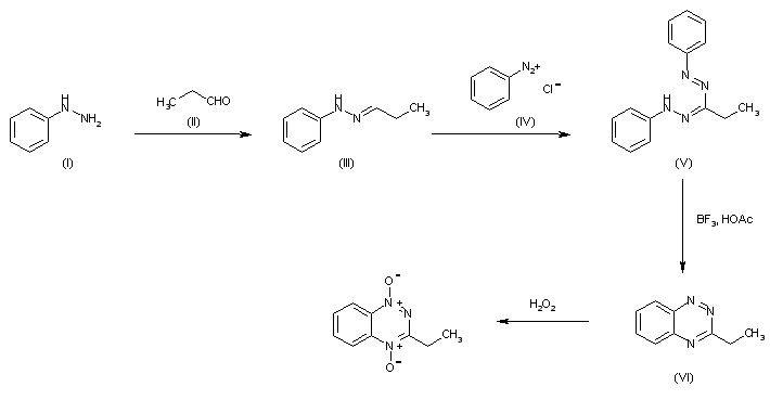
The reaction of phenylhydrazine (I) with propionaldehyde (II) gives the corresponding hydrazone (III), which is condensed with phenyldiazoninum chloride (IV) to yield the formazan (V). The cyclization of (V) by means of BF3 in hot acetic acid affords 3-ethyl-1,2,4-benzotriazine (VI), which is finally oxidized to the target dioxide by means of H2O2 and trifluoroacetic anhydride in dichloromethane.

参考文献No.468027
标题:1,2,4-Benzotriazine 1,4-dioxides. An important class of hypoxic cytotoxins with antitumor activity
作者:Kelson, A.B.; et al.
来源:Anti-Cancer Drug Des 1998,13(6),575
合成路线图解说明:

The reaction of phenylhydrazine (I) with propionaldehyde (II) gives the corresponding hydrazone (III), which is condensed with phenyldiazoninum chloride (IV) to yield the formazan (V). The cyclization of (V) by means of BF3 in hot acetic acid affords 3-ethyl-1,2,4-benzotriazine (VI), which is finally oxidized to the target dioxide by means of H2O2 and trifluoroacetic anhydride in dichloromethane.

参考文献No.711442
标题:New and versatile syntheses of 3-alkyl- and 3-aryl-1,2,4-benzotriazine 1,4-dioxides: Preparation of the bioreductive cytotoxins SR 4895 and SR 4941
作者:Hay, M.P.; Denny, W.A.
来源:Tetrahedron Lett 2002,43(52),9569
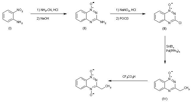
合成路线图解说明:

The reaction of 2-nitroaniline (I) with cyanamide and HCl at 100 C, followed by a treatment with NaOH at the same temperature gives the benzotriazine N-oxide (II), which is diazotized with NaNO2 and HCl, followed by a treatment with POCl3 and dimethylaniline to yield the chloro derivative (III). The reaction of (III) with tetraethyltin and Pd(PPh3)4 in hot DME affords the ethyl derivative (IV), which is finally oxidized with trifluoroperacetic acid in dichloromethane to provide the target N1, N4-bis oxide compound.

Drug Information Express,Drug R&D,Chemical Database,Patent Search.
Copyright © 2006-2026 Drug Future. All rights reserved.Contact Us