【药物名称】F-12342
化学结构式(Chemical Structure):
参考文献No.480709
标题:Novel phthalazine derivatives with high dopamine D
作者:Prinssen, E.P.M.; Schambel, P.; Monse, B.M.; Koek, W.; Kleven, M.S.; Assi? M.-B.; Diard, C.; Imbert, T.
来源:15th European Federation for Medicinal Chemistry International Symposium on Medicinal Chemistry (Sept 6 1998, Edinburgh) 1998,Abst P.167
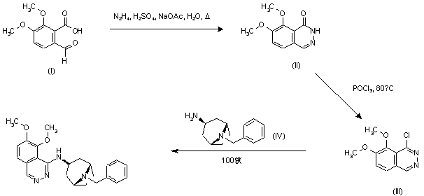
合成路线图解说明:

Benzoic acid (I) was condensed with hydrazine sulfate in the presence of NaOAc to afford phthalazinone (II). Further treatment of (II) with phosphoryl chloride at 80 C gave the 1-chlorophthalazine (III). Then, substitution of the halogen atom for N-benzyl-3-(exo)-aminotropane (IV) at 100 C provided the title compound.

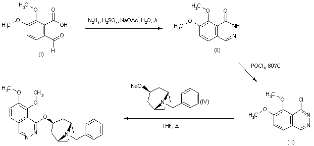
合成路线图解说明:

Benzoic acid (I) was condensed with hydrazine sulfate in the presence of NaOAc to afford phthalazinone (II). Further treatment of (II) with phosphoryl chloride at 80 C gave the 1-chlorophthalazine (III). Then, substitution of the halogen atom for N-benzyltropan-3-(exo)-ol (IV) in refluxing THF provided the title compound.

Drug Information Express,Drug R&D,Chemical Database,Patent Search.
Copyright © 2006-2026 Drug Future. All rights reserved.Contact Us