【药物名称】LK-423
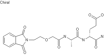
化学结构式(Chemical Structure):
参考文献No.22460
标题:Novel N-acyldipeptides, processes for the preparation thereof and pharmaceutical compsns. containing the same
作者:Pecar, S.; Sollner, M.; Urleb, U.; Kikelj, D.; Marc, G.; Krbavcic, A.; Kotnik, V.; Wraber-Herzog, B.; Simcic, S.; Ihan, A.; Klamfer, L.; Provsic, L.; Kopitar, Z.; Stalc, A. (LEK Pharmaceutical and Chemical Co.; University of Ljubljana)
来源:EP 0477912; JP 1994220087
合成路线图解说明:

The reaction of phthalimidocarboxylic acid ethyl ester (I) with 2-(2-aminoethoxy)ethanol (II) in THF gives N-[2-(2-hydroxyethoxy)ethyl]phthalimide (III), which is oxidized with CrO3/sulfuric acid in acetone yielding 2-(phthalimidoethoxy)acetic acid (IV). The condensation of (IV) with L-alanyl-D-isoglutamine benzyl ester (V) by means of phenylphosphoryl azide (DPPA) and triethylamine in DMF gives N-[2-(2-phthalimidoethoxy)acetyl]-L-alanyl-D-isoglutamine benzyl ester (VI), which is finally debenzylated by hydrogenation over Pd/C in acetic acid.

参考文献No.479627
标题:Synthesis of phthalimido-desmuramylpeptide analogues as potential immunomodulating agents
作者:Urleb, U.; et al.
来源:Arch Pharm 1995,328(2),113
合成路线图解说明:

The reaction of phthalimidocarboxylic acid ethyl ester (I) with 2-(2-aminoethoxy)ethanol (II) in THF gives N-[2-(2-hydroxyethoxy)ethyl]phthalimide (III), which is oxidized with CrO3/sulfuric acid in acetone yielding 2-(phthalimidoethoxy)acetic acid (IV). The condensation of (IV) with L-alanyl-D-isoglutamine benzyl ester (V) by means of phenylphosphoryl azide (DPPA) and triethylamine in DMF gives N-[2-(2-phthalimidoethoxy)acetyl]-L-alanyl-D-isoglutamine benzyl ester (VI), which is finally debenzylated by hydrogenation over Pd/C in acetic acid.

Drug Information Express,Drug R&D,Chemical Database,Patent Search.
Copyright © 2006-2026 Drug Future. All rights reserved.Contact Us