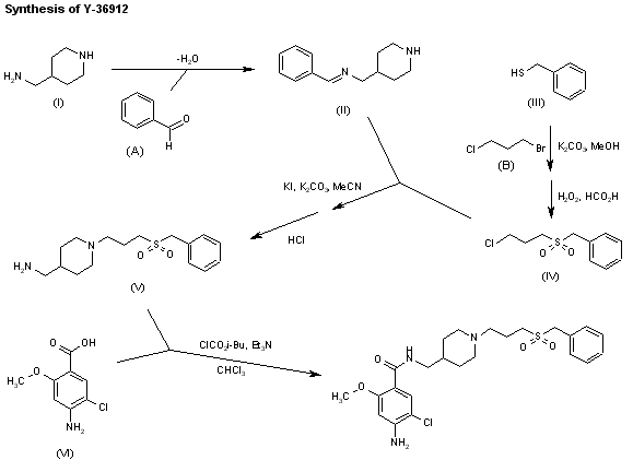
【药物名称】LY-339476
化学结构式(Chemical Structure):
参考文献No.34958
标题:Derivs. of phenylglycine and use thereof as pharmaceuticals
作者:Baker, S.R.; Clark, B.P.; Goldsworthy, J.; Harris, J.R. (Eli Lilly and Company)
来源:EP 0807621; JP 1998067723; US 5863947
合成路线图解说明:

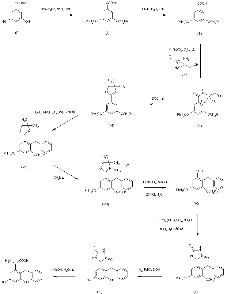
Alkylation of methyl 3,5-dihydroxybenzoate (I) with benzyl bromide in the presence of NaH gave dibenzyl ether (II). Subsequent basic hydrolysis of the ester function of (II) provided carboxylic acid (III). This was protected as the oxazoline (VI) via conversion into acid chloride with SOCl2, followed by coupling with 2-amino-2-methyl-1-propanol (IV), and then cyclization of the hydroxy amide (V) with SOCl2. After lithiation of (VI) with n-BuLi at -78 C, the 2-benzyl substituent was introduced by treatment with benzyl bromide to afford (VII). Quaternization of (VII) with boiling CH3I provided iminium salt (VIII), which was reduced with NaBH4 and then hydrolyzed to aldehyde (IX). Hydantoin (X) was then prepared from (IX) under Bucherer-Bergs conditions in the presence of KCN and (NH4)2CO3. Finally, hydrogenolytic cleavage of the O-benzyl groups, of (X) yielded (XI), which by basic hydrolysis of the hydantoin ring provided the title amino acid.

参考文献No.484422
标题:Synthesis and pharmacological evaluation of benzamides as selective 5-HT4 receptor agonists
作者:Baker, S.R.; et al.
来源:15th European Federation for Medicinal Chemistry International Symposium on Medicinal Chemistry (Sept 6 1998, Edinburgh) 1998,Abs P 270
合成路线图解说明:

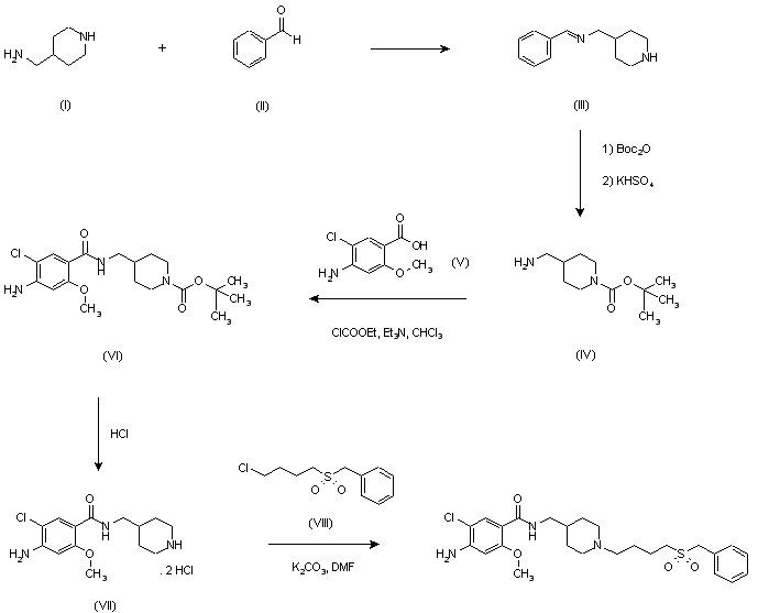
4-(Aminomethyl)piperidine (I) was protected as the benzylideneimine (III) by condensation with benzaldehyde (II). Further acylation of (III) at the secondary amino group by treatment with di-tert--butyl dicarbonate gave, after acid hydrolysis of the imine, the N-Boc-piperidine (IV). The benzoic acid derivative (V) was activated as the mixed anhydride by treatment with ethyl chloroformate and triethylamine, and subsequently condensed with amine (IV) to provide the corresponding amide (VI). Then, the N-tert-butoxycarbonyl group was eliminated with HCl to give the piperidine (VII), which was finally alkylated with halide (VIII) in the presence of K2CO3 in DMF to furnish the title compound.

合成路线图解说明:

4-(Aminomethyl)piperidine (I) was protected as the benzylideneimine (III) by condensation with benzaldehyde (II). Further acylation of (III) at the secondary amino group by treatment with di-tert--butyl dicarbonate gave, after acid hydrolysis of the imine, the N-Boc-piperidine (IV). The benzoic acid derivative (V) was activated as the mixed anhydride by treatment with ethyl chloroformate and triethylamine, and subsequently condensed with amine (IV) to provide the corresponding amide (VI). Then, the N-tert-butoxycarbonyl group was eliminated with HCl to give the piperidine (VII), which was finally alkylated with halide (VIII) in the presence of K2CO3 in DMF to furnish the title compound).

合成路线图解说明:

Alkylation of methyl 3,5-dihydroxybenzoate (I) with benzyl bromide in the presence of NaH gave dibenzyl ether (II). Subsequent basic hydrolysis of the ester function of (II) provided carboxylic acid (III). This was protected as the oxazoline (VI) via conversion into acid chloride with SOCl2, followed by coupling with 2-amino-2-methyl-1-propanol (IV), and then cyclization of the hydroxy amide (V) with SOCl2. After lithiation of (VI) with n-BuLi at -78 C, the 2-benzyl substituent was introduced by treatment with benzyl bromide to afford (VII). Quaternization of (VII) with boiling CH3I provided iminium salt (VIII), which was reduced with NaBH4 and then hydrolyzed to aldehyde (IX). Hydantoin (X) was then prepared from (IX) under Bucherer-Bergs conditions in the presence of KCN and (NH4)2CO3. Finally, hydrogenolytic cleavage of the O-benzyl groups, of (X) yielded (XI), which by basic hydrolysis of the hydantoin ring provided the title amino acid.

Drug Information Express,Drug R&D,Chemical Database,Patent Search.
Copyright © 2006-2026 Drug Future. All rights reserved.Contact Us