【药物名称】Resequinil, AVE-3933, SX-3933, AC-3933
化学结构式(Chemical Structure):
参考文献No.476249
标题:Structure-activity relationships and cognition-enhancing actions of novel 1,6-naphthyridine derivatives with benzodiazepine receptor inverse agonists activities
作者:Masumoto, K.; et al.
来源:Symp Med Chem 1998,Abst 2-P-10
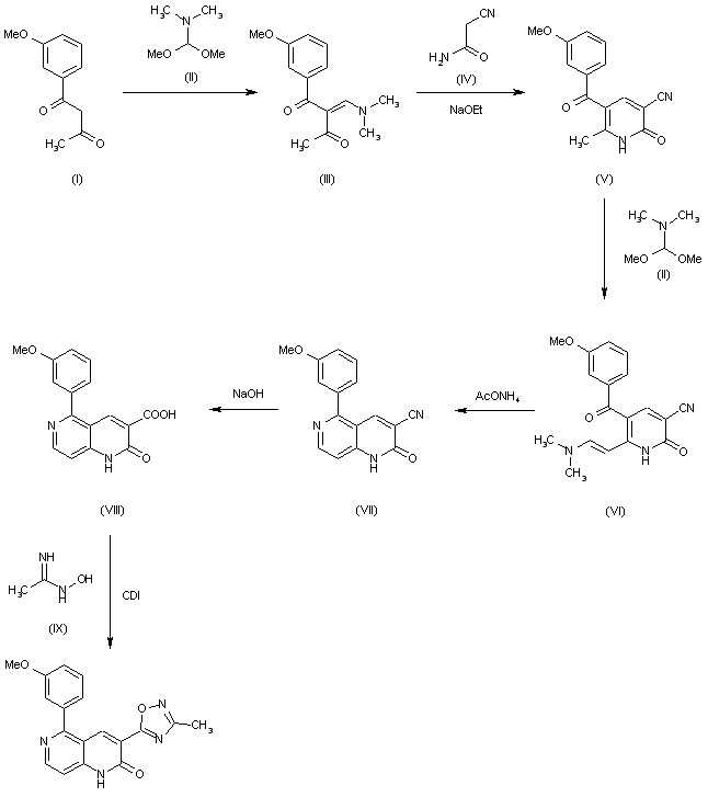
合成路线图解说明:

The reaction of 3-methoxybenzoylacetone (I) with dimethylformamide dimethylacetal (II) gives the dimethylaminomethylene derivative (III), which is cyclized with 2-cyanoacetamide (IV) by means of sodium ethoxide in ethanol yielding the pyridinone (V). The condensation of (V) with dimethylformamide dimethylacetal (II) affords the dimethylaminovinylpyridinone (VI), which is cyclized by means of ammonium acetate in DMF providing the 1,6-naphthyridine (VII). The hydrolysis of the cyano group of (VII) with NaOH gives the corresponding carboxylic acid (VIII), which is finally cyclized with N-hydroxyacetamidine (IX) by means of carbonydimidazole (CDI).

参考文献No.479503
标题:Synthesis and pharmacological evaluation of novel 3-oxadiazolyl-1,6-naphthyridines as a new class of potential cognitive enhancers
作者:Odai, O.; et al.
来源:15th European Federation for Medicinal Chemistry International Symposium on Medicinal Chemistry (Sept 6 1998, Edinburgh) 1998,Abst P.256
合成路线图解说明:

The reaction of 3-methoxybenzoylacetone (I) with dimethylformamide dimethylacetal (II) gives the dimethylaminomethylene derivative (III), which is cyclized with 2-cyanoacetamide (IV) by means of sodium ethoxide in ethanol yielding the pyridinone (V). The condensation of (V) with dimethylformamide dimethylacetal (II) affords the dimethylaminovinylpyridinone (VI), which is cyclized by means of ammonium acetate in DMF providing the 1,6-naphthyridine (VII). The hydrolysis of the cyano group of (VII) with NaOH gives the corresponding carboxylic acid (VIII), which is finally cyclized with N-hydroxyacetamidine (IX) by means of carbonydimidazole (CDI).

Drug Information Express,Drug R&D,Chemical Database,Patent Search.
Copyright © 2006-2026 Drug Future. All rights reserved.Contact Us