【药物名称】Org-37432
化学结构式(Chemical Structure):
参考文献No.484430
标题:A polar pharmacophore for oral bioavailability in thrombin inhibitors
作者:Rewinkel, J.B.M.; Smit, M.J.; Noach, A.B.J.; van Dinther, T.G.; Grootenhuis, P.D.J.; Peters, J.A.M.; Kelser, J.; Visser, A.; van Boeckel, C.A.A.; Vogel, G.M.T.; van Aelst, S.F.; Adang, A.E.P.
来源:15th European Federation for Medicinal Chemistry International Symposium on Medicinal Chemistry (Sept 6 1998, Edinburgh) 1998,Abst P.157
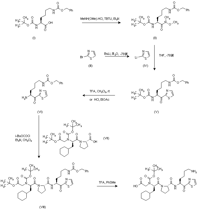
合成路线图解说明:

Treatment of protected lysine (I) with N,O-dimethyl hydroxylamine and (benzotriazolyl)tetramethyluronium fluoborate afforded hydroxamate (II). This was condensed with organolithium reagent (IV) (prepared from 2-bromothiazole (III) and butyllithium), to yield thiazolyl ketone (V). Acid deprotection of the N-Boc group of (V) provided amine (VI), which was then coupled with the mixed anhydride obtained from dipeptide (VII) and isobutyl chloroformate. The resulting compound (VIII) was finally deprotected using TFA and thioanisole.

Drug Information Express,Drug R&D,Chemical Database,Patent Search.
Copyright © 2006-2026 Drug Future. All rights reserved.Contact Us