【药物名称】LY-393675
化学结构式(Chemical Structure):
参考文献No.36521
标题:Pharmaceutical acidic cpds.
作者:Clark, B.P.; Harris, J.R. (Eli Lilly and Company)
来源:EP 0837061; JP 1998120635; US 6054448
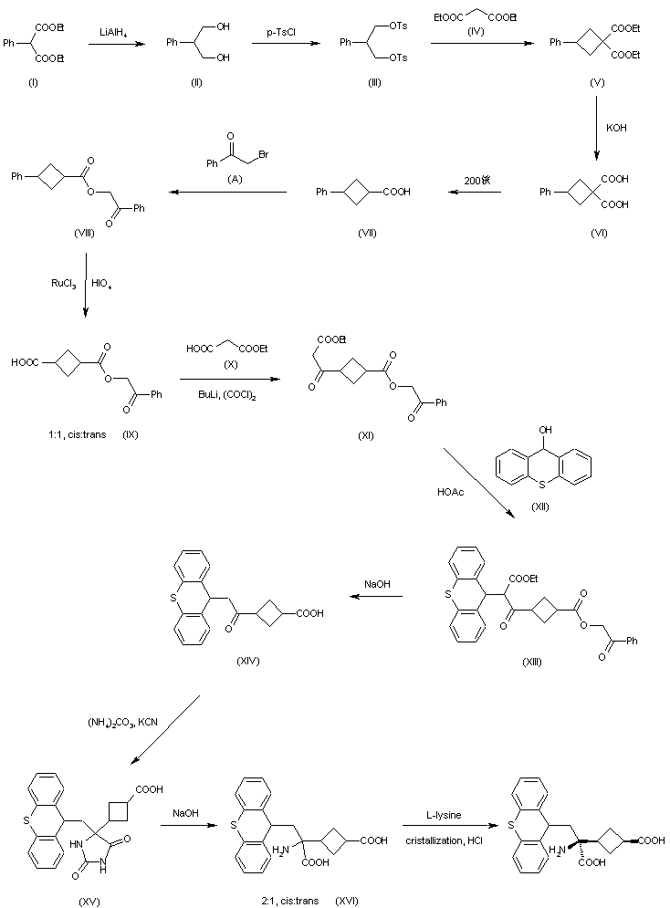
合成路线图解说明:

The reduction of diethyl 2-phenylmalonate (I) with LiAlH4 in ethyl ether gives the expected diol (II), which is tosylated with tosyl chloride and pyridine yielding the ditosylate (III). The cyclization of (III) with diethyl malonate (IV) by means of NaH in dioxane affords the diethyl 3-phenylcyclobutane-1,1-dicarboxylate (V), which is saponified with KOH to the diacid (VI). The partial decarboxylation of (VI) by heating at 200 C provides 3-phenylcyclobutane-1-carboxylic acid (VII), which is esterified with phenacyl bromide to the corresponding phenacyl ester (VIII). The oxidation of (VIII) with ruthenium chloride and periodic acid gives cyclobutane-1,3-dicarboxylic acid monophenacyl ester (IX) as a 1:1 mixture of the cis and trans isomers. The condensation of (IX) with malonic acid monoethyl ester (X) by means of oxalyl chloride and BuLi in THF yields tyhe intermediate diester (XI), which is condensed with thioxanthen (XII) in acetic acid to provide the thioxanthenyl acetic ester (XIII). The decarboxylative hydrolysis of (XIII) with NaOH in ethanol gives the ketoacid (XIV), which is cyclized with KCN and ammonium carbonate in ethanol/water yielding the imidazolidinedione (XV). The hydrolysis of (XV) with NaOH affords the 3-[1-amino-1-carboxy-2-(9-thioxanthenyl)ethyl]cyclobutane-1-carboxylic acid (XVI) as a 2:1 mixture of the cis and trans racemates. Finally, this mixture is treated with L-lysine and crystallized to afford the pure target compound.

参考文献No.485924
标题:alpha-Substituted-cyclobutylglycine LY393675 potently antagonises group 1 metabotropic glutamate receptors
作者:Clark, B.P.; et al.
来源:15th European Federation for Medicinal Chemistry International Symposium on Medicinal Chemistry (Sept 6 1998, Edinburgh) 1998,Abst P.125
合成路线图解说明:

The reduction of diethyl 2-phenylmalonate (I) with LiAlH4 in ethyl ether gives the expected diol (II), which is tosylated with tosyl chloride and pyridine yielding the ditosylate (III). The cyclization of (III) with diethyl malonate (IV) by means of NaH in dioxane affords the diethyl 3-phenylcyclobutane-1,1-dicarboxylate (V), which is saponified with KOH to the diacid (VI). The partial decarboxylation of (VI) by heating at 200 C provides 3-phenylcyclobutane-1-carboxylic acid (VII), which is esterified with phenacyl bromide to the corresponding phenacyl ester (VIII). The oxidation of (VIII) with ruthenium chloride and periodic acid gives cyclobutane-1,3-dicarboxylic acid monophenacyl ester (IX) as a 1:1 mixture of the cis and trans isomers. The condensation of (IX) with malonic acid monoethyl ester (X) by means of oxalyl chloride and BuLi in THF yields tyhe intermediate diester (XI), which is condensed with thioxanthen (XII) in acetic acid to provide the thioxanthenyl acetic ester (XIII). The decarboxylative hydrolysis of (XIII) with NaOH in ethanol gives the ketoacid (XIV), which is cyclized with KCN and ammonium carbonate in ethanol/water yielding the imidazolidinedione (XV). The hydrolysis of (XV) with NaOH affords the 3-[1-amino-1-carboxy-2-(9-thioxanthenyl)ethyl]cyclobutane-1-carboxylic acid (XVI) as a 2:1 mixture of the cis and trans racemates. Finally, this mixture is treated with L-lysine and crystallized to afford the pure target compound.

Drug Information Express,Drug R&D,Chemical Database,Patent Search.
Copyright © 2006-2026 Drug Future. All rights reserved.Contact Us