【药物名称】202W92, BW-202W92
化学结构式(Chemical Structure):
参考文献No.12620
标题:Pharmacologically active CNS cpds.
作者:Miller, A.A.; Nobbs, M.S.; Hyde, R.M.; Leach, M.J. (Glaxo Wellcome plc)
来源:AU 8945964; EP 0372934; EP 0713703; EP 0715851; EP 0727212; EP 0727213; EP 0727214; JP 1990202876; US 5587380; US 5597828; US 5635507; US 5684005
合成路线图解说明:

Treatment of thiourea (I) with iodomethane provided S-methylthiouronium iodide (II). This was further condensed with N-methylpiperazine (III) to afford the intermediate piperazine-1-carboxamidine (IV)

合成路线图解说明:

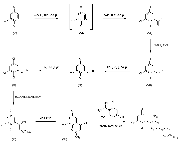
Regioselective lithiation of 1,2,4-trichlorobenzene (V) with n-BuLi at -60 C, followed by quenching of the resultant organolithium compound (VI) with N,N-dimethylformamide yielded 2,3,5-trichlorobenzaldehyde (VII) (1), which was then reduced with NaBH4 to provide alcohol (VIII). Bromination of (VIII) using PBr3 afforded compound (IX), whose bromide atom was displaced with KCN to give the trichlorophenylacetonitrile (X). Claisen condensation of (X) with ethyl formate in the presence of NaOEt furnished the oxo nitrile sodium enolate (XI), which was subsequently O-alkylated with iodomethane yielding the methoxy acrylonitrile (XII). Finally, cyclization of (XII) with the piperazine-1-carboxamidine (IV) in EtOH gave rise to the target pyrimidine derivative

合成路线图解说明:

The condensation of 2-(2,6-dichlorophenyl)acetonitrile (I) with ethyl acetate (II) by means of sodium ethoxide in refluxing ethanol gives 2-(2,6-dichlorophenyl)-3-oxobutyronitrile (III), which is methylated with diazomethane in ether yielding the enol ether (IV). Finally, this compound is cyclized with guanidine (V) by means of sodium ethoxide in refluxing ethanol.

合成路线图解说明:

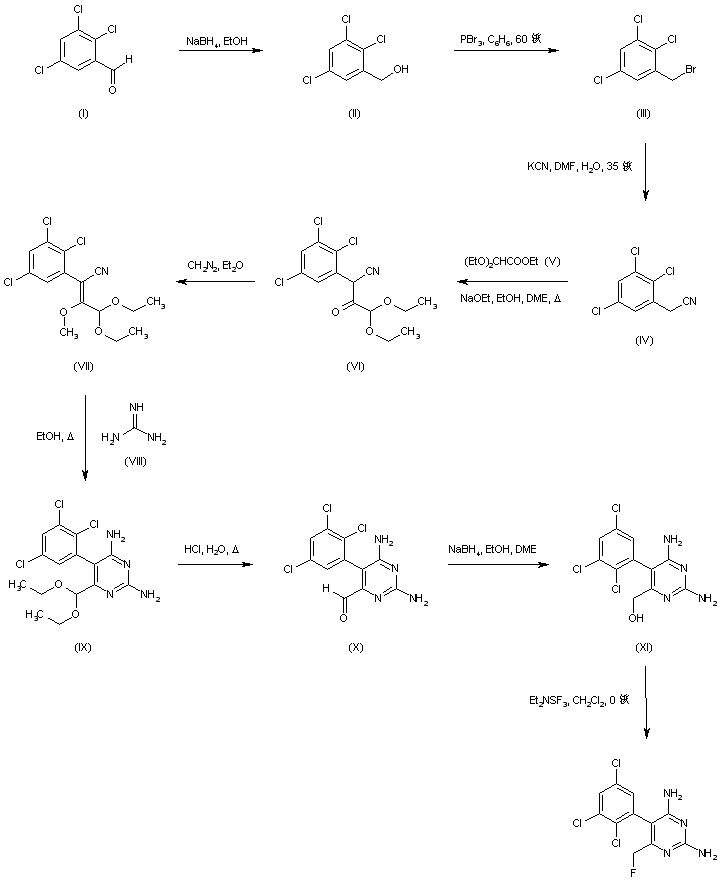
2,3,5-Trichlorobenzaldehyde (I) was reduced with NaBH4 to the benzyl alcohol (II) and then converted to the corresponding bromide (III) by means of PBr3 in benzene. Displacement of bromide group of (III) with KCN gave 2,3,5-trichlorophenylacetonitrile (IV), which was condensed with ethyl diethoxyacetate (V) in the presence of NaOEt to provide keto nitrile (VI). Subsequent treatment of (VI) with ethereal diazomethane generated the enol ether (VII). This was cyclized with guanidine (VIII) in boiling EtOH to produce pyrimidine (IX). After ketal hydrolysis of (IX), the resulting aldehyde (X) was reduced with NaBH4 to alcohol (XI). Finally, treatment of (XI) with diethylaminosulfur trifluoride in cold CH2Cl2 provided the desired fluoromethyl compound.

Drug Information Express,Drug R&D,Chemical Database,Patent Search.
Copyright © 2006-2026 Drug Future. All rights reserved.Contact Us