【药物名称】J-104129
化学结构式(Chemical Structure):
参考文献No.31487
标题:1,4-Disubstd. piperidine derivs.
作者:Tsuchiya, Y.; Nomoto, T.; Ohsawa, H.; Kawakami, K.; Ohwaki, K.; Nishikibe, M. (Banyu Pharmaceutical Co., Ltd.)
来源:EP 0823423; US 5750540; WO 9633973
合成路线图解说明:

The chiral precursor (IV) was obtained by two alternative procedures. Addition of cyclopentylmagnesium bromide (II) to ethyl phenylglyoxylate (I) afforded the racemic hydroxyester (III). Basic hydrolysis of the ethyl ester group of (III) gave the corresponding carboxylic acid, which was resolved using cinchonidine.

合成路线图解说明:

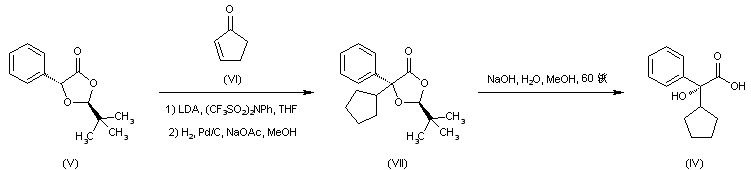
An alternative asymmetric procedure consisted in the LDA-promoted addition of cyclopentenone (VI) to the chiral dioxolanone (V), followed by catalytic hydrogenation to furnish (VII). The dioxolane group of (VII) was then cleaved by basic hydrolysis yielding the target (R)-hydroxyacid (IV).

合成路线图解说明:

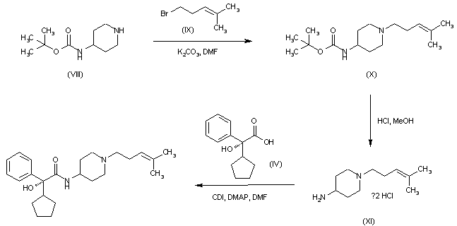
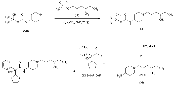
The alkylation of 4-(tert-butoxycarbonylamino)piperidine (VIII) with (S)-4- methylhexyl methanesulfonate (IX) provided the tertiary amine (X). Cleavage of the Boc protecting group of (X) gave aminopiperidine (XI), which was finally coupled with the chiral hydroxyacid (IV) by means of carbonyl diimidazole.

合成路线图解说明:

The chiral precursor (IV) was obtained by two alternative procedures. Addition of cyclopentylmagnesium bromide (II) to ethyl phenylglyoxylate (I) afforded the racemic hydroxyester (III). Basic hydrolysis of the ethyl ester group of (III) gave the corresponding carboxylic acid, which was resolved using cinchonidine.

合成路线图解说明:

An alternative asymmetric procedure consisted in the LDA-promoted addition of cyclopentenone (VI) to the chiral dioxolanone (V), followed by catalytic hydrogenation to furnish (VII). The dioxolane group of (VII) was then cleaved by basic hydrolysis yielding the target (R)-hydroxyacid (IV).

合成路线图解说明:

The alkylation of 4-(tert-butoxycarbonylamino)piperidine (VIII) with 5-bromo-2-methyl-2-pentene (IX) provided the tertiary amine (X). Cleavage of the Boc protecting group of (X) gave aminopiperidine (XI), which was finally coupled with the chiral hydroxyacid (IV) by means of carbonyl diimidazole.

参考文献No.482174
标题:Synthesis and structure-activity-relationships of 4-acetamidopiperidines as M3 selective antagonists
作者:Yamakawa, T.; et al.
来源:15th European Federation for Medicinal Chemistry International Symposium on Medicinal Chemistry (Sept 6 1998, Edinburgh) 1998,Abst P.294
合成路线图解说明:

The chiral precursor (IV) was obtained by two alternative procedures. Addition of cyclopentylmagnesium bromide (II) to ethyl phenylglyoxylate (I) afforded the racemic hydroxyester (III). Basic hydrolysis of the ethyl ester group of (III) gave the corresponding carboxylic acid, which was resolved using cinchonidine.

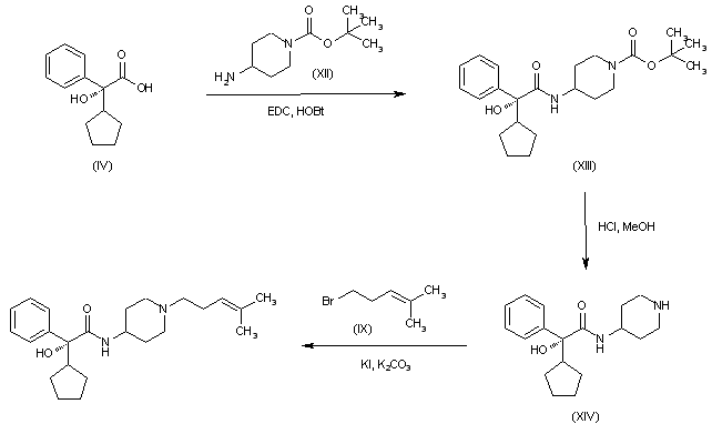
合成路线图解说明:

In a related procedure, hydroxyacid (IV) was coupled with 1-Boc-4-aminopiperidine (XII) employing EDC and HOBt to give amide (XIII). Acid cleavage of the Boc group of (XIII) yielded amine (XIV), that was finally alkylated with mesylate (IX).

合成路线图解说明:

The chiral precursor (IV) was obtained by two alternative procedures. Addition of cyclopentylmagnesium bromide (II) to ethyl phenylglyoxylate (I) afforded the racemic hydroxyester (III). Basic hydrolysis of the ethyl ester group of (III) gave the corresponding carboxylic acid, which was resolved using cinchonidine.

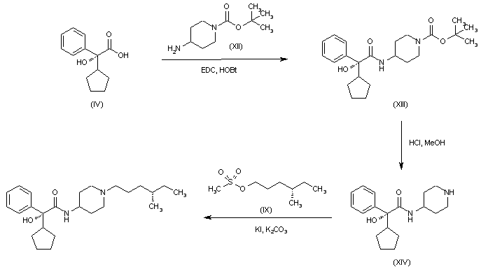
合成路线图解说明:

In a related procedure, hydroxyacid (IV) was coupled with 1-Boc-4-aminopiperidine (XII) employing EDC and HOBt to give amide (XIII). Acid cleavage of the Boc group of (XIII) yielded amine (XIV), that was finally alkylated with bromide (IX).

参考文献No.545761
标题:Stereoselective synthesis of a new muscarinic M3 receptor antagonist, J-104129
作者:Mitsuya, M.; Kawakami, K.; Ogino, Y.; Miura, K.; Mase, T.
来源:Bioorg Med Chem Lett 1999,9(14),2037
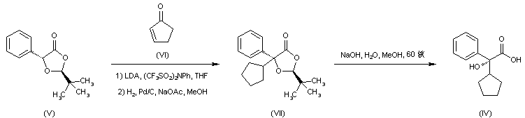
合成路线图解说明:

The condensation of chiral dioxolane (I) with 2-cyclopentenone (II) by means of lithium diisopropylamide (LDA) in THF, followed by reaction with N-phenyl-trifluoromethanesulfonylimide gives the enol triflate (III), which is reduced with H2 over Pd/C in methanol yielding the chiral dioxolane (IV)(as major isomer (93:7)). The hydrolysis of (IV) with NaOH in methanol affords impure acid (V), which was purified through crystallization of its (-)-cinchonidine salt. Pure (V) is finally condensed with piperidine-4-amine (VI) by means of CDI and DIEA in DMF to afford the target amide.

参考文献No.561778
标题:J-104129, a novel muscarinic M3 receptor antagonist with high selectivity for M3 over M2 receptors
作者:Mitsuya, M.; Mase, T.; Tsuchiya, Y.; Kawakami, K.; Hattori, H.; Kobayashi, K.; Ogino, Y.; Fujikawa, T.; Satoh, A.; Kimura, T.; Noguchi, K.; Ohtake, N.; Tomimoto, K.
来源:Bioorg Med Chem 1999,7(11),2555
合成路线图解说明:

The alkylation of 4-piperidone monohydrate hydrochloride (I) with 5-bromo-2-methyl-2-pentene (II) in the presence of KI and K2CO3 afforded the tertiary amine (III). Subsequent reductive amination using ammonium acetate and sodium cyanoborohydride provided aminopiperidine (IV).

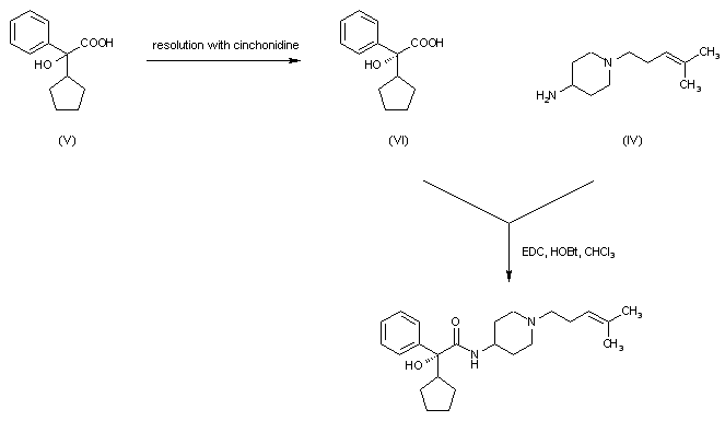
合成路线图解说明:

Racemic 2-cyclopentyl-2-hydroxy-2-phenylacetic acid (V) was resolved by recrystallization of its cinchonidine salt from toluene to furnish the (-)-(R)-enantiomer (VI). Coupling with amine (IV) by means of 1-(3-dimethylaminopropyl)-3-ethylcarbodiimide (EDC) and 1-hydroxybenzotriazole (HOBt) then gave the target amide.

Drug Information Express,Drug R&D,Chemical Database,Patent Search.
Copyright © 2006-2026 Drug Future. All rights reserved.Contact Us