【药物名称】ABT-546, A-216546
化学结构式(Chemical Structure):
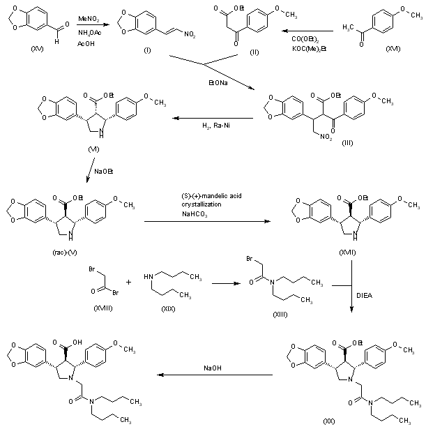
参考文献No.34074
标题:Novel benzo-1,3-dioxolyl- and benzofuranyl substd. pyrrolidine derivs. as endothelin antagonists
作者:Winn, M.; Boyd, S.A.; Hutchins, C.W.; Tasker, A.S.; Von Geldern, T.W.; Kester, J.A.; Sorensen, B.K.; Szczepankiewicz, B.G.; Henry, K.J. Jr.; Liu, G.; Wittenberger, S.J.; King, S.A. (Abbott Laboratories Inc.)
来源:EP 0885215; WO 9730045
合成路线图解说明:

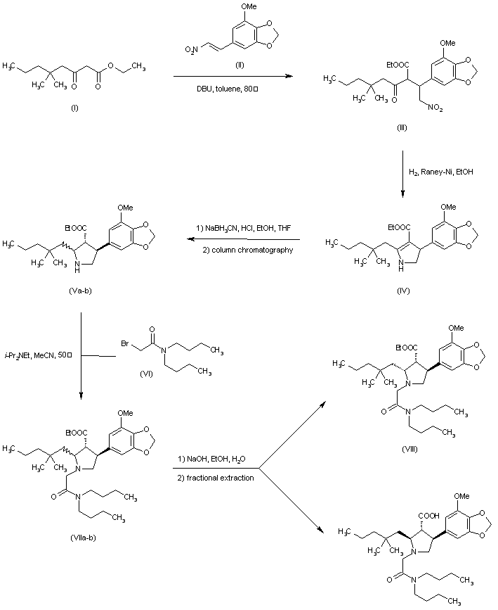
Condensation of 1,3-benzodioxole-5-carbaldehyde (XV) with nitromethane by means of ammonium acetate in HOAc gives the nitrostyrene (I), which is condensed with ethyl 2-(4-methoxybenzoyl)acetate (II) [obtained by reaction of acetophenone (XVI), diethyl carbonate and potassium tert-amyloxide] by means of NaOEt in THF to yield the 4-nitrobutyrate (III). Reductive cyclization of (III) with H2 over Raney-Ni in THF affords the (cis, cis)-pyrrolidine (VI), which is isomerized to the (trans,trans)-isomer (V) by means of NaOEt in refluxing ethanol. This racemic ester (V) is submitted to optical resolution with (S)-(+)-mandelic acid to provide the pure chiral ester (XVII). This compound is condensed with 2-bromo-N,N-dibutylacetamide (XIII) [obtained by reaction of 2-bromoacetyl bromide (XVIII) with dibutylamine (XIX) in toluene] by means of DIEA in acetonitrile to give the ethyl ester (XX), which is finally hydrolyzed with NaOH in hot ethanol.

合成路线图解说明:

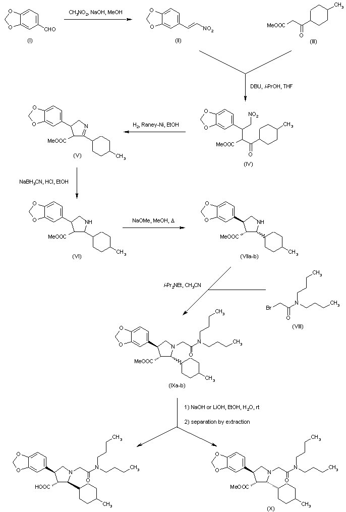
Condensation of ketoester (I) with nitrovinyl benzodioxole (II) in the presence of 1,8-diazabicyclo[5.4.0]undec-7-ene gave adduct (III). Hydrogenation of the nitro group of (III) over Raney Nickel with concomitant cyclization yielded dihydropyrrole (IV). Further reduction of (IV) with sodium cyanoborohydride provided a mixture of diastereomeric pyrrolidines. Chromatographic separation removed the cis,cis isomer, affording a mixture of trans,trans and cis,trans products (V). N-Alkylation of the pyrrolidine (V) with N,N-dibutyl bromoacetamide (VI) furnished (VIIa-b). Finally, selective hydrolysis of the ester group from the trans,trans isomer produced a mixture of cis,trans ester (VIII) and the target trans,trans acid, which were readily separated by fractional extraction.

合成路线图解说明:

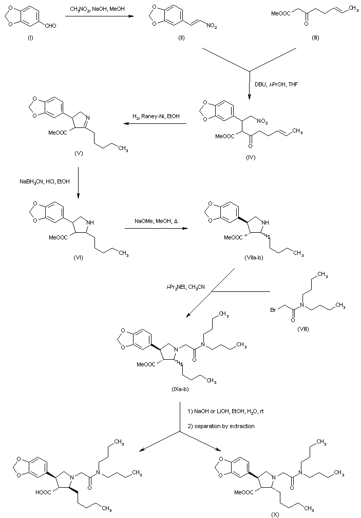
Condensation of piperonal (I) with nitromethane in the presence of NaOH provided nitrostyrene (II). Subsequent conjugate addition of (II) to ketoester (III) using DBU provided adduct (IV). Reduction of the nitro group of (IV), with concomitant ring closure and olefinic double bond hydrogenation formed the cyclic imine (V), which was reduced with NaBH3CN to yield the pyrrolidine (VI) as a diastereomeric mixture. The crude mixture was isomerized to a mixture of only cis,trans and trans,trans pyrrolidines (VII) by base-catalyzed equilibration with NaOEt. N-Alkylation of the pyrrolidines (VII) with N,N-dibutyl bromoacetamide (VIII) furnished (IX). Basic hydrolysis of the ester group of (IX) with either NaOH or LiOH gave rise to the target trans,trans pyrrolidine-3-carboxylic acid. The undesired cis,trans isomeric ester (X) was not hydrolyzed under these conditions, allowing its removal from the product by means of differential extraction.

合成路线图解说明:

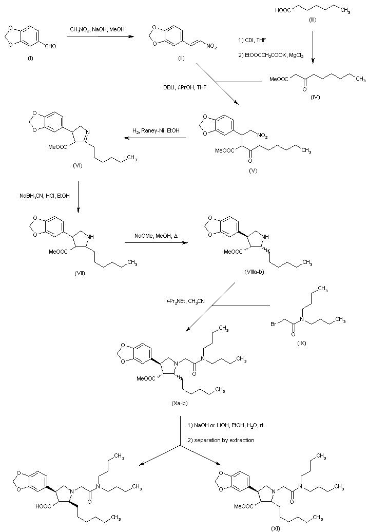
Condensation of piperonal (I) with nitromethane in the presence of NaOH provided nitrostyrene (II) (1-3). Ketoester (IV) was prepared by treatment of n-heptanoic acid (III) with 1,1'-carbonyldiimidazole and further condensation with ethyl magnesium malonate (1). Subsequent conjugate addition of (II) to ketoester (IV) using DBU provided adduct (V). Reduction of the nitro group of (V), with concomitant ring closure formed the cyclic imine (VI), which was reduced with NaBH3CN to yield the pyrrolidine (VII) as a diastereomeric mixture. The crude mixture was isomerized to a mixture of only cis,trans and trans,trans pyrrolidines (VIII) by base-catalyzed equilibration with NaOEt. N-Alkylation of the pyrrolidines (VIII) with N,N-dibutyl bromoacetamide (IX) furnished (X). Basic hydrolysis of the ester group of (X) with either NaOH or LiOH gave rise to the target trans,trans pyrrolidine-3-carboxylic acid. The undesired cis,trans isomeric ester (XI) was not hydrolyzed under these conditions, allowing its removal from the product by means of differential extraction.

合成路线图解说明:

Condensation of piperonal (I) with nitromethane in the presence of NaOH provided nitrostyrene (II). Subsequent conjugate addition of (II) to ketoester (III) using DBU provided adduct (IV). Reduction of the nitro group of (IV), with concomitant ring closure formed the cyclic imine (V), which was reduced with NaBH3CN to yield the pyrrolidine (VI) as a diastereomeric mixture. The crude mixture was isomerized to a mixture of only cis,trans and trans,trans pyrrolidines (VII) by base-catalyzed equilibration with NaOEt. N-Alkylation of the pyrrolidines (VII) with N,N-dibutyl bromoacetamide (VIII) furnished (IX). Basic hydrolysis of the ester group of (IX) with either NaOH or LiOH gave rise to the target trans,trans pyrrolidine-3-carboxylic acid. The undesired cis,trans isomeric ester (X) was not hydrolyzed under these conditions, allowing its removal from the product by means of differential extraction.

Drug Information Express,Drug R&D,Chemical Database,Patent Search.
Copyright © 2006-2026 Drug Future. All rights reserved.Contact Us