【药物名称】BM-401
化学结构式(Chemical Structure):
参考文献No.480717
标题:Design, synthesis, and anticonvulsant activity of 1-(pyrid-3-ylsulfonamido)-2-nitroethylenes
作者:Masereel, B.; Wouters, J.; Pochet, L.; Lambert, D.
来源:J Med Chem 1998,41(17),3239
合成路线图解说明:

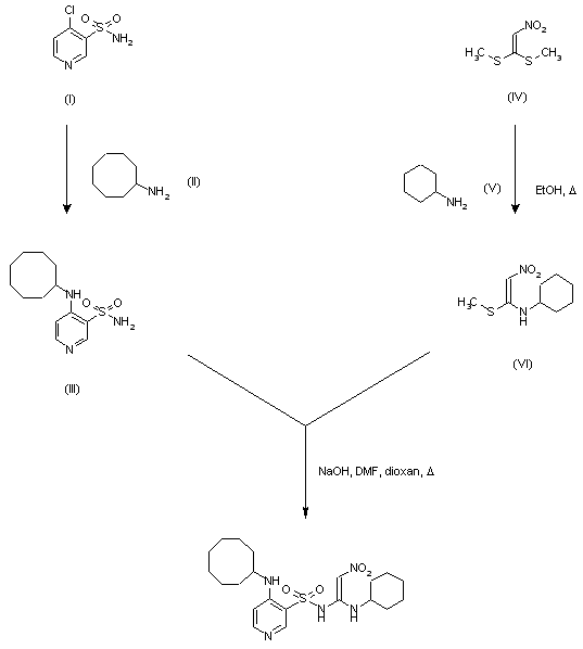
Condensation of chloropyridine (I) with cyclooctylamine (II) provided the cyclooctylaminopyridine (III). The aminonitroethylene derivative (VI) was prepared by reaction of 1,1-bis(methylsulfanyl)-2-nitroethylene (IV) with cyclohexylamine (V) in refluxing EtOH. Subsequent condensation of this intermediate with the sodium salt of sulfonamide (III) yielded the title compound.

Drug Information Express,Drug R&D,Chemical Database,Patent Search.
Copyright © 2006-2026 Drug Future. All rights reserved.Contact Us