【药物名称】MRS-1476
化学结构式(Chemical Structure):
参考文献No.481482
标题:Structure-activity relationships and molecular mod
作者:Li, A.-H.; Moro, S.; Melman, N.; Ji, X.D.; Jacobson, K.A.
来源:J Med Chem 1998,41(17),3186
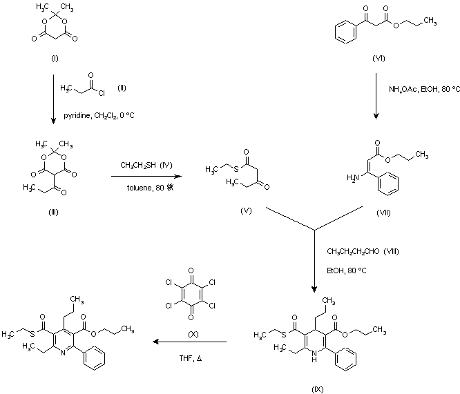
合成路线图解说明:

Acylation of Meldrum's acid (I) with propionyl chloride (II) in the presence of pyridine gave propionyl derivative (III). Subsequent ring opening of (III) with ethanethiol (IV), followed by decarboxylation provided S-ethyl 3-oxothiovalerate (V). Propyl 3-amino-3-phenyl-2-propenoate (VII) was prepared by reaction of benzoylacetate (VI) with ammonium acetate in refluxing ethanol. Then, Hantzsch condensation of ketothioester (V), beta-enaminoester (VII), and butyraldehyde (VIII) in EtOH at 80 C in a sealed tube furnished the dihydropyridine (IX). Finally, oxidation of (IX) using chloranil (X) in boiling THF gave the target pyridine.

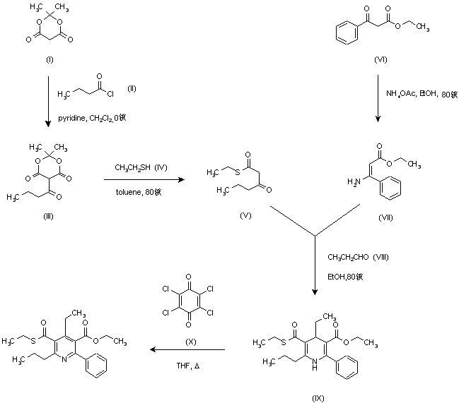
合成路线图解说明:

Acylation of Meldrum's acid (I) with propionyl chloride (II) in the presence of pyridine gave propionyl derivative (III). Subsequent ring opening of (III) with ethanethiol (IV), followed by decarboxylation provided S-ethyl 3-oxothiovalerate (V). Ethyl 3-amino-3-phenyl-2-propenoate (VII) was prepared by reaction of benzoylacetate (VI) with ammonium acetate in refluxing ethanol. Then, Hantzsch condensation of ketothioester (V), beta-enaminoester (VII), and propionaldehyde (VIII) in EtOH at 80 C in a sealed tube furnished the dihydropyridine (IX). Finally, oxidation of (IX) using chloranil (X) in boiling THF gave the target pyridine.

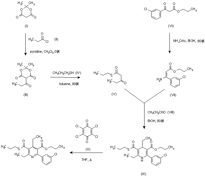
合成路线图解说明:

Acylation of Meldrum's acid (I) with propionyl chloride (II) in the presence of pyridine gave propionyl derivative (III). Subsequent ring opening of (III) with propanethiol (IV), followed by decarboxylation provided S-propyl 3-oxothiovalerate (V). Propyl 3-amino-3-(m-chlorophenyl)-2-propenoate (VII) was prepared by reaction of (3-chlorobenzoyl)acetate (VI) with ammonium acetate in refluxing ethanol. Then, Hantzsch condensation of ketothioester (V), beta-enaminoester (VII), and propionaldehyde (VIII) in EtOH at 80 C in a sealed tube furnished the dihydropyridine (IX). Finally, oxidation of (IX) using chloranil (X) in boiling THF gave the target pyridine.

合成路线图解说明:

Acylation of Meldrum's acid (I) with butyryl chloride (II) in the presence of pyridine gave butyryl derivative (III). Subsequent ring opening of (III) with ethanethiol (IV), followed by decarboxylation provided S-ethyl 3-oxothiocaproate (V). Ethyl 3-amino-3-phenyl-2-propenoate (VII) was prepared by reaction of benzoylacetate (VI) with ammonium acetate in refluxing ethanol. Then, Hantzsch condensation of ketothioester (V), b-enaminoester (VII), and propionaldehyde (VIII) in EtOH at 80 C in a sealed tube furnished the dihydropyridine (IX). Finally, oxidation of (IX) using chloranil (X) in boiling THF gave the target pyridine.

Drug Information Express,Drug R&D,Chemical Database,Patent Search.
Copyright © 2006-2026 Drug Future. All rights reserved.Contact Us