【药物名称】
化学结构式(Chemical Structure):
参考文献No.36505
标题:Novel (alpha-aminophosphino) peptide derivs., method for making same and therapeutic applications thereof
作者:Fournie-Zaluski, M.-C.; Chen, H.; Roques, B.P. (INSERM (Institut National de la Sante et de la Recherche Medicale))
来源:EP 1009750; WO 9818803
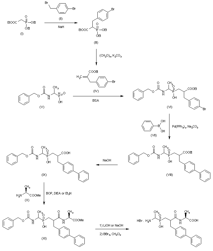
合成路线图解说明:

Treatment of triethyl phosphoacetate (I) with NaH and 4-bromobenzyl bromide (II) in DMF provides the 2-substituted triethyl phosphoacetate (III), which then undergoes reaction with formaldehyde and K2CO3 to afford acrylate derivative (IV). Michael condensation of (IV) with phosphinic acid (V) in N,O-bistrimethylsilylacetamide (BSA) yields intermediate (VI), which then undergoes Suzuki condensation in toluene with phenylboronic acid (VII) and NaHCO3 in MeOH catalyzed by Pd(PPh3)4 to give (VIII). Hydrolysis of ethyl ester (VIII) by means of NaOH in EtOH furnishes carboxylic acid (IX), which is then coupled to L-alanine (X) by means of BOP and DIEA or Et3N in DMF to yield methyl ester (XI). Compound (XI) is then hydrolyzed by treatment with NaOH or LiOH in EtOH and, finally, the Z-protecting group is removed with BBr3 in dichloromethane.

参考文献No.476332
标题:Aminophosphinic inhibitors as transition state analogues of enkephalin-degrading enzymes: A class of central analgesics
作者:Chen, H.; Noble, F.; Coric, P.; Fournie-Zaluski, M.-C.; Roques, B.P.
来源:Proceedings of the National Academy of Sciences of the United States of America 1998,95(20),12028
合成路线图解说明:

Treatment of triethyl phosphoacetate (I) with NaH and 4-bromobenzyl bromide (II) in DMF provides the 2-substituted triethyl phosphoacetate (III), which then undergoes reaction with formaldehyde and K2CO3 to afford acrylate derivative (IV). Michael condensation of (IV) with phosphinic acid (V) in N,O-bistrimethylsilylacetamide (BSA) yields intermediate (VI), which then undergoes Suzuki condensation in toluene with phenylboronic acid (VII) and NaHCO3 in MeOH catalyzed by Pd(PPh3)4 to give (VIII). Hydrolysis of ethyl ester (VIII) by means of NaOH in EtOH furnishes carboxylic acid (IX), which is then coupled to L-alanine (X) by means of BOP and DIEA or Et3N in DMF to yield methyl ester (XI). Compound (XI) is then hydrolyzed by treatment with NaOH or LiOH in EtOH and, finally, the Z-protecting group is removed with BBr3 in dichloromethane.

参考文献No.573050
标题:Phosphinic derivatives as new dual enkephalin-degrading enzyme inhibitors: Synthesis, biological properties, and antinociceptive activities
作者:Chen, H.; Noble, F.; Morth? A.; Meudal, H.; Coric, P.; DaNascimento, S.; Roques, B.P.; George, P.; Fournie-Zaluski, M.C.
来源:J Med Chem 2000,43(7),1398
合成路线图解说明:

Treatment of triethyl phosphoacetate (I) with NaH and 4-bromobenzyl bromide (II) in DMF provides the 2-substituted triethyl phosphoacetate (III), which then undergoes reaction with formaldehyde and K2CO3 to afford acrylate derivative (IV). Michael condensation of (IV) with phosphinic acid (V) in N,O-bistrimethylsilylacetamide (BSA) yields intermediate (VI), which then undergoes Suzuki condensation in toluene with phenylboronic acid (VII) and NaHCO3 in MeOH catalyzed by Pd(PPh3)4 to give (VIII). Hydrolysis of ethyl ester (VIII) by means of NaOH in EtOH furnishes carboxylic acid (IX), which is then coupled to L-alanine (X) by means of BOP and DIEA or Et3N in DMF to yield methyl ester (XI). Compound (XI) is then hydrolyzed by treatment with NaOH or LiOH in EtOH and, finally, the Z-protecting group is removed with BBr3 in dichloromethane.

Drug Information Express,Drug R&D,Chemical Database,Patent Search.
Copyright © 2006-2026 Drug Future. All rights reserved.Contact Us