【药物名称】LY-367366
化学结构式(Chemical Structure):
参考文献No.37244
标题:Pharmaceutical substd. propanoic acid derivs.
作者:Purdey, J.A.; et al. (Eli Lilly and Company)
来源:EP 0849263; JP 10194734; US 5965103
合成路线图解说明:

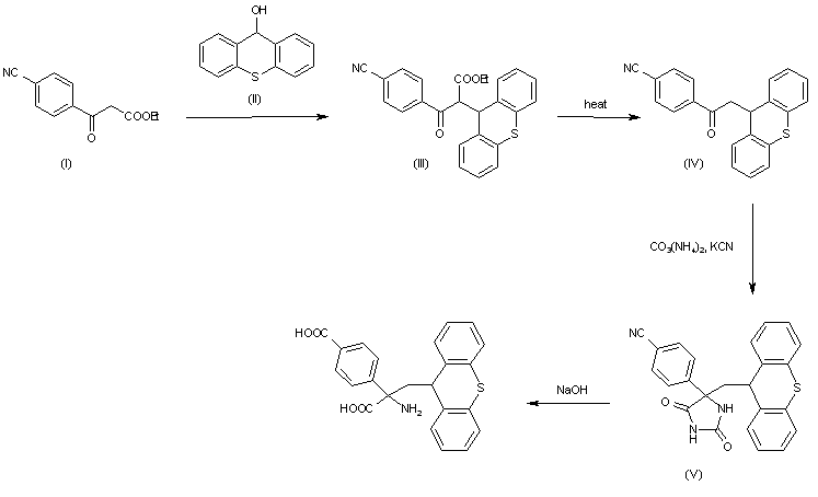
The condensation of ethyl 2-(4-cyanobenzoyl)acetate (I) with 9-hydroxythioxanthene (II) in ethanol/acetic acid gives ethyl 2-(4-cyanobenzoyl)-2-(thioxanthen-9-yl)acetate (III), which is decarboxylated in refluxing DMSO/water yielding 4-[2-(thioxanthen-9-yl)acetyl]benzonitrile (IV). The cyclization of (IV) with ammonium carbonate and potasium cyanide affords the hydantoin (V), which is finally fully hydrolyzed with aqueous NaOH at 120 C.

参考文献No.479625
标题:alpha-Substituted phenylglycines as group 1 metabotropic glutamate receptor antagonists
作者:Clark, B.P.; et al.
来源:15th European Federation for Medicinal Chemistry International Symposium on Medicinal Chemistry (Sept 6 1998, Edinburgh) 1998,Abst P.183
合成路线图解说明:

The condensation of ethyl 2-(4-cyanobenzoyl)acetate (I) with 9-hydroxythioxanthene (II) in ethanol/acetic acid gives ethyl 2-(4-cyanobenzoyl)-2-(thioxanthen-9-yl)acetate (III), which is decarboxylated in refluxing DMSO/water yielding 4-[2-(thioxanthen-9-yl)acetyl]benzonitrile (IV). The cyclization of (IV) with ammonium carbonate and potasium cyanide affords the hydantoin (V), which is finally fully hydrolyzed with aqueous NaOH at 120 C.

Drug Information Express,Drug R&D,Chemical Database,Patent Search.
Copyright © 2006-2026 Drug Future. All rights reserved.Contact Us